Крупнейшая бесплатная информационно-справочная система онлайн доступа к полному собранию технических нормативно-правовых актов РФ. Огромная база технических нормативов (более 150 тысяч документов) и полное собрание национальных стандартов, аутентичное официальной базе Госстандарта. GOSTRF.com - это более 1 Терабайта бесплатной технической информации для всех пользователей интернета. Все электронные копии представленных здесь документов могут распространяться без каких-либо ограничений. Поощряется распространение информации с этого сайта на любых других ресурсах. Каждый человек имеет право на неограниченный доступ к этим документам! Каждый человек имеет право на знание требований, изложенных в данных нормативно-правовых актах!

  


 

ГОСТ 16106-82

Нафталин коксохимический. Технические условия

Обозначение:ГОСТ 16106-82
Текущий статус документа: действующий
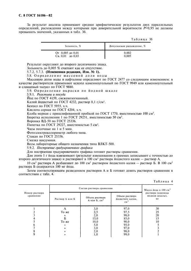
Название документа рус.:Нафталин коксохимический. Технические условия
Название документа англ.:Coal-chemical naphthalene. Specifications
Дата актуализации текста:01.12.2013
Дата издания:01.06.1999
Дата введения:30.06.1983
Дата последнего изменения:22.05.2013
Переиздание:переиздание с изм. 1
Область применения:Настоящий стандарт распространяется на нафталин, выделяемый из продуктов коксования углей и применяемый для различных органических синтезов и промышленных целей
Список изменений:№1 от 01.07.1988 (рег. 30.12.1987) «Срок действия продлен»
№2 от 01.02.1991 (рег. 25.06.1990) «Срок действия продлен»
№3 от 01.01.2008 (рег. 07.06.2007) «Текстовое изменение; Изменены ссылочные НД»
Приложение №1:Изменение №3 к ГОСТ 16106-82
ГОСТ 16106-82ГОСТ 16106-82ГОСТ 16106-82ГОСТ 16106-82ГОСТ 16106-82ГОСТ 16106-82ГОСТ 16106-82ГОСТ 16106-82ГОСТ 16106-82ГОСТ 16106-82ГОСТ 16106-82ГОСТ 16106-82ГОСТ 16106-82ГОСТ 16106-82ГОСТ 16106-82ГОСТ 16106-82ГОСТ 16106-82ГОСТ 16106-82ГОСТ 16106-82ГОСТ 16106-82ГОСТ 16106-82ГОСТ 16106-82

Изменение №3 к ГОСТ 16106-82

Обозначение:Изменение №3 к ГОСТ 16106-82
Дата введения:01.01.2008


Изменение №3 к ГОСТ 16106-82Изменение №3 к ГОСТ 16106-82Изменение №3 к ГОСТ 16106-82Изменение №3 к ГОСТ 16106-82Изменение №3 к ГОСТ 16106-82Изменение №3 к ГОСТ 16106-82Изменение №3 к ГОСТ 16106-82Изменение №3 к ГОСТ 16106-82
 




ГОСТЫ, СТРОИТЕЛЬНЫЕ и ТЕХНИЧЕСКИЕ НОРМАТИВЫ.
Некоммерческая онлайн система, содержащая все Российские Госты, национальные Стандарты и нормативы.
В Системе содержится более 150000 файлов нормативно-технической документации, действующей на территории РФ.
Система предназначена для широкого круга инженерно-технических специалистов.

Рейтинг@Mail.ru Яндекс цитирования

Copyright © www.gostrf.com, 2008 - 2026