Крупнейшая бесплатная информационно-справочная система онлайн доступа к полному собранию технических нормативно-правовых актов РФ. Огромная база технических нормативов (более 150 тысяч документов) и полное собрание национальных стандартов, аутентичное официальной базе Госстандарта. GOSTRF.com - это более 1 Терабайта бесплатной технической информации для всех пользователей интернета. Все электронные копии представленных здесь документов могут распространяться без каких-либо ограничений. Поощряется распространение информации с этого сайта на любых других ресурсах. Каждый человек имеет право на неограниченный доступ к этим документам! Каждый человек имеет право на знание требований, изложенных в данных нормативно-правовых актах!

  


 

ГОСТ 25051.2-82

Система государственных испытаний продукции. Камеры тепла и холода испытательные. Методы аттестации

Обозначение:ГОСТ 25051.2-82
Текущий статус документа: утратил силу в РФ
Название документа рус.:Система государственных испытаний продукции. Камеры тепла и холода испытательные. Методы аттестации
Название документа англ.:The state system of testing products. Test chambers of heat and cold. Certification methods
Дата актуализации текста:01.12.2013
Дата издания:01.11.2003
Дата введения:01.07.1983
Дата последнего изменения:22.05.2013
Дата окончания срока действия:01.01.2011
Переиздание:переиздание
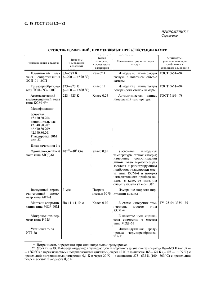
Область применения:Настоящий стандарт распространяется на камеры тепла, холода, тепла и холода полезным объемом свыше 0,025 м куб., предназначенные для испытаний продукции на воздействие температур в диапазоне 173-623 К (минус 100 - плюс 350 град. С), и устанавливает методы их аттестации.
Настоящий стандарт не распространяется на специальные камеры и камеры для испытаний на надежность
Список изменений:№0 от 01.01.2011 (рег. 15.12.2009) «Поправка к изменению»
ГОСТ 25051.2-82ГОСТ 25051.2-82ГОСТ 25051.2-82ГОСТ 25051.2-82ГОСТ 25051.2-82ГОСТ 25051.2-82ГОСТ 25051.2-82ГОСТ 25051.2-82ГОСТ 25051.2-82ГОСТ 25051.2-82ГОСТ 25051.2-82ГОСТ 25051.2-82ГОСТ 25051.2-82ГОСТ 25051.2-82ГОСТ 25051.2-82ГОСТ 25051.2-82ГОСТ 25051.2-82ГОСТ 25051.2-82ГОСТ 25051.2-82ГОСТ 25051.2-82ГОСТ 25051.2-82ГОСТ 25051.2-82ГОСТ 25051.2-82ГОСТ 25051.2-82ГОСТ 25051.2-82ГОСТ 25051.2-82ГОСТ 25051.2-82ГОСТ 25051.2-82ГОСТ 25051.2-82ГОСТ 25051.2-82ГОСТ 25051.2-82
 




ГОСТЫ, СТРОИТЕЛЬНЫЕ и ТЕХНИЧЕСКИЕ НОРМАТИВЫ.
Некоммерческая онлайн система, содержащая все Российские Госты, национальные Стандарты и нормативы.
В Системе содержится более 150000 файлов нормативно-технической документации, действующей на территории РФ.
Система предназначена для широкого круга инженерно-технических специалистов.

Рейтинг@Mail.ru Яндекс цитирования

Copyright © www.gostrf.com, 2008 - 2026