Крупнейшая бесплатная информационно-справочная система онлайн доступа к полному собранию технических нормативно-правовых актов РФ. Огромная база технических нормативов (более 150 тысяч документов) и полное собрание национальных стандартов, аутентичное официальной базе Госстандарта. GOSTRF.com - это более 1 Терабайта бесплатной технической информации для всех пользователей интернета. Все электронные копии представленных здесь документов могут распространяться без каких-либо ограничений. Поощряется распространение информации с этого сайта на любых других ресурсах. Каждый человек имеет право на неограниченный доступ к этим документам! Каждый человек имеет право на знание требований, изложенных в данных нормативно-правовых актах!

  


 

ГОСТ 25336-82

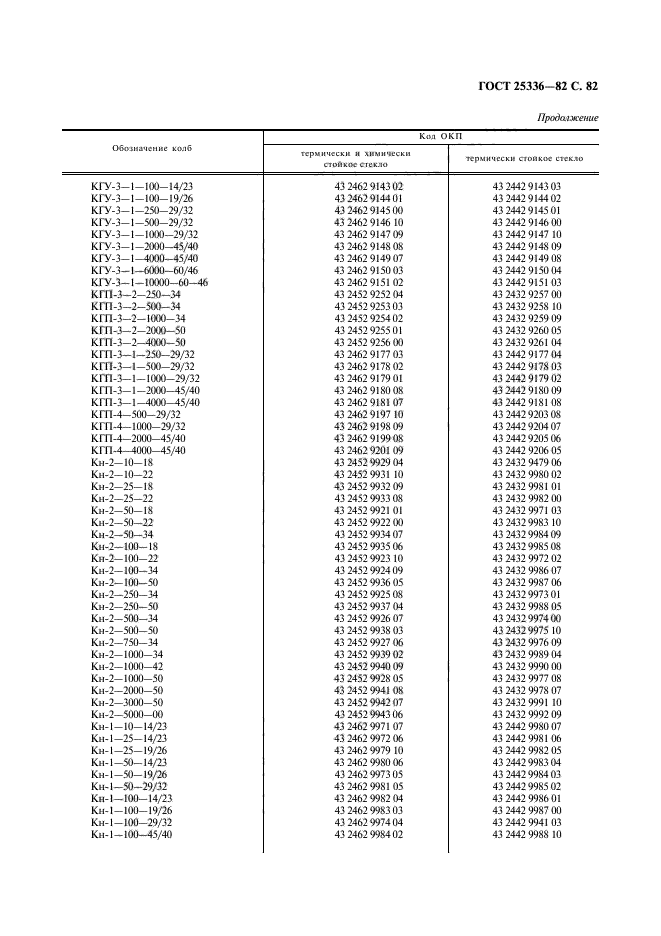
Посуда и оборудование лабораторные стеклянные. Типы, основные параметры и размеры

Обозначение:ГОСТ 25336-82
Текущий статус документа: действующий
Название документа рус.:Посуда и оборудование лабораторные стеклянные. Типы, основные параметры и размеры
Название документа англ.:Laboratory glassware and equipment. Basic parameters and dimensions
Дата актуализации текста:01.12.2013
Дата издания:01.03.2009
Дата введения:01.01.1984
Дата последнего изменения:22.05.2013
Переиздание:переиздание с изм. 1
Взамен в части: в части типов, основных параметров и размеров
Область применения:Настоящий стандарт распространяется на стеклянную лабораторную посуду и оборудование, изготовляемые для потребностей экономики страны и экспорта.
Изделия подразделяются на посуду: стаканы, стаканчики для взвешивания, колбы, колбы Фаворского, колбы с тубусом, пробирки, чашки, сосуды и оборудование: соединительные элементы и трубки, воронки, фильтры, капельницы, спиртовки, склянки с тубусом, насос водоструйный, эксикаторы, насадки, холодильники, дефлегматоры, каплеуловители, склянки для промывания газов, приборы для поглощения газов и паров воды, аппараты для получения газа
Список изменений:№1 от 01.01.1985 (рег. 09.04.1984) «Срок действия продлен»
№2 от 01.01.1987 (рег. 16.04.1986) «Срок действия продлен»
№3 от 01.01.1989 (рег. 27.06.1988) «Срок действия продлен»
№4 от 01.04.1990 (рег. 10.11.1989) «Срок действия продлен»
ГОСТ 25336-82ГОСТ 25336-82ГОСТ 25336-82ГОСТ 25336-82ГОСТ 25336-82ГОСТ 25336-82ГОСТ 25336-82ГОСТ 25336-82ГОСТ 25336-82ГОСТ 25336-82ГОСТ 25336-82ГОСТ 25336-82ГОСТ 25336-82ГОСТ 25336-82ГОСТ 25336-82ГОСТ 25336-82ГОСТ 25336-82ГОСТ 25336-82ГОСТ 25336-82ГОСТ 25336-82ГОСТ 25336-82ГОСТ 25336-82ГОСТ 25336-82ГОСТ 25336-82ГОСТ 25336-82ГОСТ 25336-82ГОСТ 25336-82ГОСТ 25336-82ГОСТ 25336-82ГОСТ 25336-82ГОСТ 25336-82ГОСТ 25336-82ГОСТ 25336-82ГОСТ 25336-82ГОСТ 25336-82ГОСТ 25336-82ГОСТ 25336-82ГОСТ 25336-82ГОСТ 25336-82ГОСТ 25336-82ГОСТ 25336-82ГОСТ 25336-82ГОСТ 25336-82ГОСТ 25336-82ГОСТ 25336-82ГОСТ 25336-82ГОСТ 25336-82ГОСТ 25336-82ГОСТ 25336-82ГОСТ 25336-82ГОСТ 25336-82ГОСТ 25336-82ГОСТ 25336-82ГОСТ 25336-82ГОСТ 25336-82ГОСТ 25336-82ГОСТ 25336-82ГОСТ 25336-82ГОСТ 25336-82ГОСТ 25336-82ГОСТ 25336-82ГОСТ 25336-82ГОСТ 25336-82ГОСТ 25336-82ГОСТ 25336-82ГОСТ 25336-82ГОСТ 25336-82ГОСТ 25336-82ГОСТ 25336-82ГОСТ 25336-82ГОСТ 25336-82ГОСТ 25336-82ГОСТ 25336-82ГОСТ 25336-82ГОСТ 25336-82ГОСТ 25336-82ГОСТ 25336-82ГОСТ 25336-82ГОСТ 25336-82ГОСТ 25336-82ГОСТ 25336-82ГОСТ 25336-82ГОСТ 25336-82ГОСТ 25336-82ГОСТ 25336-82ГОСТ 25336-82ГОСТ 25336-82ГОСТ 25336-82ГОСТ 25336-82ГОСТ 25336-82ГОСТ 25336-82ГОСТ 25336-82ГОСТ 25336-82ГОСТ 25336-82ГОСТ 25336-82ГОСТ 25336-82ГОСТ 25336-82ГОСТ 25336-82ГОСТ 25336-82ГОСТ 25336-82ГОСТ 25336-82ГОСТ 25336-82ГОСТ 25336-82
 




ГОСТЫ, СТРОИТЕЛЬНЫЕ и ТЕХНИЧЕСКИЕ НОРМАТИВЫ.
Некоммерческая онлайн система, содержащая все Российские Госты, национальные Стандарты и нормативы.
В Системе содержится более 150000 файлов нормативно-технической документации, действующей на территории РФ.
Система предназначена для широкого круга инженерно-технических специалистов.

Рейтинг@Mail.ru Яндекс цитирования

Copyright © www.gostrf.com, 2008 - 2026