Крупнейшая бесплатная информационно-справочная система онлайн доступа к полному собранию технических нормативно-правовых актов РФ. Огромная база технических нормативов (более 150 тысяч документов) и полное собрание национальных стандартов, аутентичное официальной базе Госстандарта. GOSTRF.com - это более 1 Терабайта бесплатной технической информации для всех пользователей интернета. Все электронные копии представленных здесь документов могут распространяться без каких-либо ограничений. Поощряется распространение информации с этого сайта на любых других ресурсах. Каждый человек имеет право на неограниченный доступ к этим документам! Каждый человек имеет право на знание требований, изложенных в данных нормативно-правовых актах!

  


 

ГОСТ 25553-82

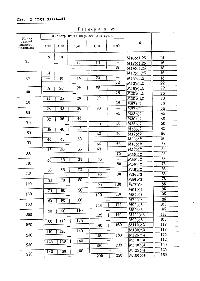
Гидроцилиндры одноступенчатые на номинальное давление 16 МПа (160 кгс/см кв.). Присоединительные резьбы штоков и плунжеров

Обозначение:ГОСТ 25553-82
Текущий статус документа: действует только в РФ
Название документа рус.:Гидроцилиндры одноступенчатые на номинальное давление 16 МПа (160 кгс/см кв.). Присоединительные резьбы штоков и плунжеров
Название документа англ.:One stage hydraulic cylinders at nominal pressure 16 MPa. Connected threades of rods and plungers
Дата актуализации текста:01.12.2013
Дата издания:24.02.1983
Дата введения:30.06.1983
Дата последнего изменения:22.05.2013
Область применения:Настоящий стандарт распространяется на одноступенчатые гидроцилиндры общемашиностроительного применения одно- и двустороннего действия на номинальное давление 16 МПа (160 кгс/см кв.) с соотношением рабочих площадей поршня фи 1,25; 1,33; 1,4; 1,6 и 2,0 и устанавливает размеры присоединительных резьб штоков и плунжеров
Список изменений:№0 от 01.07.1988 (рег. 27.11.1987) «Отменен»
№1 от 01.07.1988 (рег. 27.11.1987) «Срок действия продлен»
ГОСТ 25553-82ГОСТ 25553-82ГОСТ 25553-82ГОСТ 25553-82ГОСТ 25553-82ГОСТ 25553-82ГОСТ 25553-82
 




ГОСТЫ, СТРОИТЕЛЬНЫЕ и ТЕХНИЧЕСКИЕ НОРМАТИВЫ.
Некоммерческая онлайн система, содержащая все Российские Госты, национальные Стандарты и нормативы.
В Системе содержится более 150000 файлов нормативно-технической документации, действующей на территории РФ.
Система предназначена для широкого круга инженерно-технических специалистов.

Рейтинг@Mail.ru Яндекс цитирования

Copyright © www.gostrf.com, 2008 - 2026