Крупнейшая бесплатная информационно-справочная система онлайн доступа к полному собранию технических нормативно-правовых актов РФ. Огромная база технических нормативов (более 150 тысяч документов) и полное собрание национальных стандартов, аутентичное официальной базе Госстандарта. GOSTRF.com - это более 1 Терабайта бесплатной технической информации для всех пользователей интернета. Все электронные копии представленных здесь документов могут распространяться без каких-либо ограничений. Поощряется распространение информации с этого сайта на любых других ресурсах. Каждый человек имеет право на неограниченный доступ к этим документам! Каждый человек имеет право на знание требований, изложенных в данных нормативно-правовых актах!

  


 

ГОСТ 2839-80

Ключи гаечные с открытым зевом двусторонние. Конструкция и размеры

Обозначение:ГОСТ 2839-80
Текущий статус документа: действующий
Название документа рус.:Ключи гаечные с открытым зевом двусторонние. Конструкция и размеры
Название документа англ.:Double-ended open spanners. Construction and dimensions
Дата актуализации текста:01.12.2013
Дата издания:01.09.1986
Дата введения:01.01.1981
Дата последнего изменения:22.05.2013
Переиздание:переиздание с изм. 1
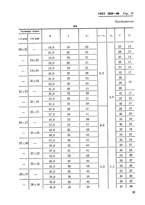
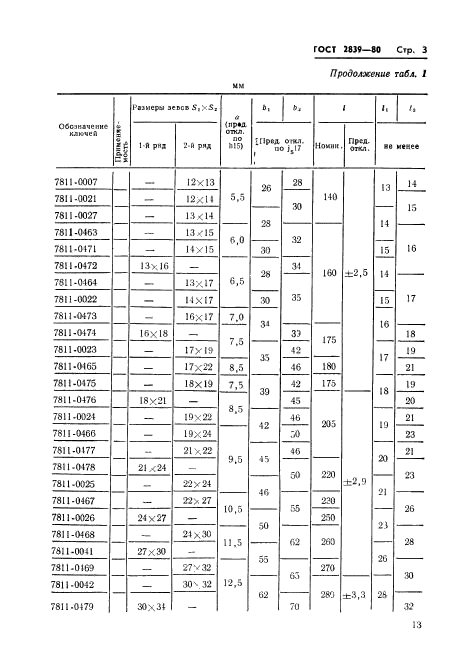
Область применения:Настоящий стандарт распространяется на гаечные ключи с открытыми зевами размерами от 2,5х3,2 до 75х80 мм, изготовляемые для нужд народного хозяйства и для экспорта
Список изменений:№0 от 10.04.2007 (рег. 10.04.2007) «Дата введения перенесена»
№1 от 01.07.1982 (рег. 23.03.1982) «Срок действия продлен»
№2 от 01.01.1986 (рег. 25.04.1985) «Срок действия продлен»
Приложение №1:Поправка к ГОСТ 2839-80
ГОСТ 2839-80ГОСТ 2839-80ГОСТ 2839-80ГОСТ 2839-80ГОСТ 2839-80ГОСТ 2839-80ГОСТ 2839-80ГОСТ 2839-80ГОСТ 2839-80ГОСТ 2839-80ГОСТ 2839-80ГОСТ 2839-80ГОСТ 2839-80ГОСТ 2839-80ГОСТ 2839-80

Поправка к ГОСТ 2839-80

Обозначение:Поправка к ГОСТ 2839-80
Дата введения:10.04.2007


Поправка к ГОСТ 2839-80
 




ГОСТЫ, СТРОИТЕЛЬНЫЕ и ТЕХНИЧЕСКИЕ НОРМАТИВЫ.
Некоммерческая онлайн система, содержащая все Российские Госты, национальные Стандарты и нормативы.
В Системе содержится более 150000 файлов нормативно-технической документации, действующей на территории РФ.
Система предназначена для широкого круга инженерно-технических специалистов.

Рейтинг@Mail.ru Яндекс цитирования

Copyright © www.gostrf.com, 2008 - 2026