Крупнейшая бесплатная информационно-справочная система онлайн доступа к полному собранию технических нормативно-правовых актов РФ. Огромная база технических нормативов (более 150 тысяч документов) и полное собрание национальных стандартов, аутентичное официальной базе Госстандарта. GOSTRF.com - это более 1 Терабайта бесплатной технической информации для всех пользователей интернета. Все электронные копии представленных здесь документов могут распространяться без каких-либо ограничений. Поощряется распространение информации с этого сайта на любых других ресурсах. Каждый человек имеет право на неограниченный доступ к этим документам! Каждый человек имеет право на знание требований, изложенных в данных нормативно-правовых актах!

  


 

ГОСТ 24068-80

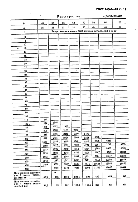
Основные нормы взаимозаменяемости. Соединения шпоночные с клиновыми шпонками. Размеры шпонок и сечений пазов. Допуски и посадки

Обозначение:ГОСТ 24068-80
Текущий статус документа: действующий
Название документа рус.:Основные нормы взаимозаменяемости. Соединения шпоночные с клиновыми шпонками. Размеры шпонок и сечений пазов. Допуски и посадки
Название документа англ.:Basic norms of interchangeability. Keyed joints with taper keys. Dimensions of keys and keyways. Tolerances and fits
Дата актуализации текста:01.12.2013
Дата издания:01.06.1987
Дата введения:01.01.1981
Дата последнего изменения:22.05.2013
Переиздание:переиздание с изм. 1
Взамен:
Область применения:Настоящий стандарт распространяется на шпоночные соединения с клиновыми шпонками и устанавливает размеры и предельные отклонения размеров клиновых шпонок с головкой и без головки и соответствующих им шпоночных пазов на валах и во втулках
Список изменений:№1 от 01.07.1984 (рег. 01.07.1984) «Срок действия продлен»
ГОСТ 24068-80ГОСТ 24068-80ГОСТ 24068-80ГОСТ 24068-80ГОСТ 24068-80ГОСТ 24068-80ГОСТ 24068-80ГОСТ 24068-80ГОСТ 24068-80ГОСТ 24068-80ГОСТ 24068-80ГОСТ 24068-80ГОСТ 24068-80ГОСТ 24068-80
 




ГОСТЫ, СТРОИТЕЛЬНЫЕ и ТЕХНИЧЕСКИЕ НОРМАТИВЫ.
Некоммерческая онлайн система, содержащая все Российские Госты, национальные Стандарты и нормативы.
В Системе содержится более 150000 файлов нормативно-технической документации, действующей на территории РФ.
Система предназначена для широкого круга инженерно-технических специалистов.

Рейтинг@Mail.ru Яндекс цитирования

Copyright © www.gostrf.com, 2008 - 2026