Крупнейшая бесплатная информационно-справочная система онлайн доступа к полному собранию технических нормативно-правовых актов РФ. Огромная база технических нормативов (более 150 тысяч документов) и полное собрание национальных стандартов, аутентичное официальной базе Госстандарта. GOSTRF.com - это более 1 Терабайта бесплатной технической информации для всех пользователей интернета. Все электронные копии представленных здесь документов могут распространяться без каких-либо ограничений. Поощряется распространение информации с этого сайта на любых других ресурсах. Каждый человек имеет право на неограниченный доступ к этим документам! Каждый человек имеет право на знание требований, изложенных в данных нормативно-правовых актах!

  


 

ГОСТ 24508-80

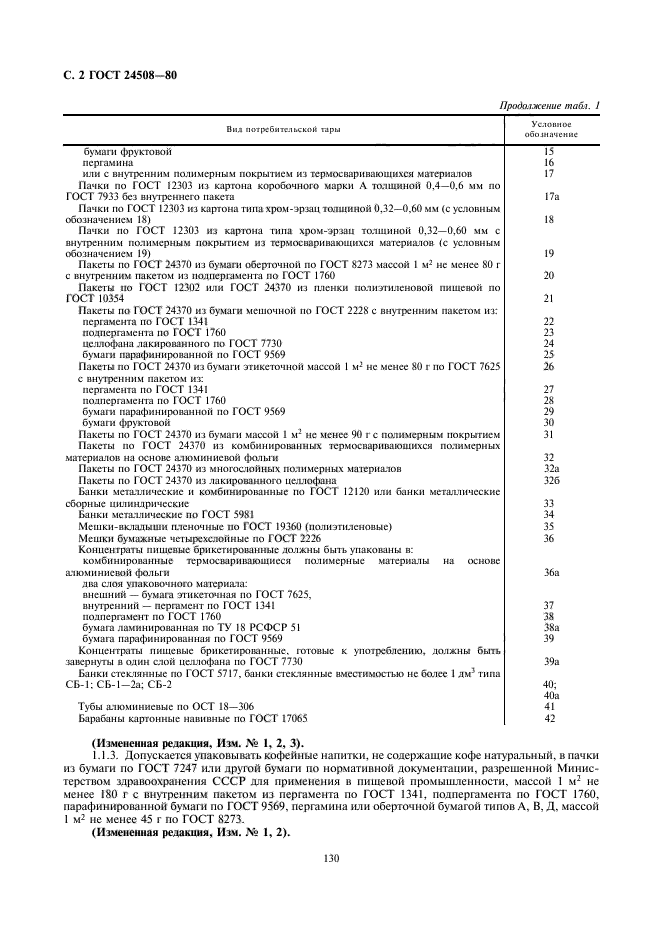
Концентраты пищевые. Упаковка, маркировка, транспортирование и хранение

Обозначение:ГОСТ 24508-80
Текущий статус документа: действующий
Название документа рус.:Концентраты пищевые. Упаковка, маркировка, транспортирование и хранение
Название документа англ.:Food concentrates. Packing, marking, transportation and storage
Дата актуализации текста:01.12.2013
Дата издания:01.04.2003
Дата введения:30.06.1983
Дата последнего изменения:22.05.2013
Переиздание:переиздание с изм. 1
Взамен в части: в части упаковки, маркировки, транспортирования и хранения
Область применения:Настоящий стандарт распространяется на пищевые концентраты и устанавливает общие требования к упаковке, маркировке, транспортированию и хранению.
Настоящий стандарт не распространяется на пряности и продукты сублимационной сушки толокно и овсяные хлопья “Геркулес“
Список изменений:№0 от 30.05.1988 (рег. 30.05.1988) «Срок действия продлен»
№1 от 01.03.1985 (рег. 31.08.1984) «Срок действия продлен»
№2 от 01.07.1990 (рег. 06.07.1989) «Срок действия продлен»
№3 от 01.01.1992 (рег. 21.06.1991) «Срок действия продлен»
ГОСТ 24508-80ГОСТ 24508-80ГОСТ 24508-80ГОСТ 24508-80ГОСТ 24508-80ГОСТ 24508-80ГОСТ 24508-80ГОСТ 24508-80ГОСТ 24508-80ГОСТ 24508-80ГОСТ 24508-80ГОСТ 24508-80
 




ГОСТЫ, СТРОИТЕЛЬНЫЕ и ТЕХНИЧЕСКИЕ НОРМАТИВЫ.
Некоммерческая онлайн система, содержащая все Российские Госты, национальные Стандарты и нормативы.
В Системе содержится более 150000 файлов нормативно-технической документации, действующей на территории РФ.
Система предназначена для широкого круга инженерно-технических специалистов.

Рейтинг@Mail.ru Яндекс цитирования

Copyright © www.gostrf.com, 2008 - 2026