Крупнейшая бесплатная информационно-справочная система онлайн доступа к полному собранию технических нормативно-правовых актов РФ. Огромная база технических нормативов (более 150 тысяч документов) и полное собрание национальных стандартов, аутентичное официальной базе Госстандарта. GOSTRF.com - это более 1 Терабайта бесплатной технической информации для всех пользователей интернета. Все электронные копии представленных здесь документов могут распространяться без каких-либо ограничений. Поощряется распространение информации с этого сайта на любых других ресурсах. Каждый человек имеет право на неограниченный доступ к этим документам! Каждый человек имеет право на знание требований, изложенных в данных нормативно-правовых актах!

  


 

ГОСТ 7601-78

Физическая оптика. Термины, буквенные обозначения и определения основных величин

Обозначение:ГОСТ 7601-78
Текущий статус документа: действующий
Название документа рус.:Физическая оптика. Термины, буквенные обозначения и определения основных величин
Название документа англ.:Physical optics. Terms, letter symbols and definitions of basic quantities
Дата актуализации текста:01.12.2013
Дата издания:01.11.1998
Дата введения:01.01.1980
Дата последнего изменения:22.05.2013
Переиздание:переиздание с изм. 1
Заменяющий в части: в части терминов пп. 27 - 32, 35а, 36 - 44, 46 - 48, 50, 70, 71
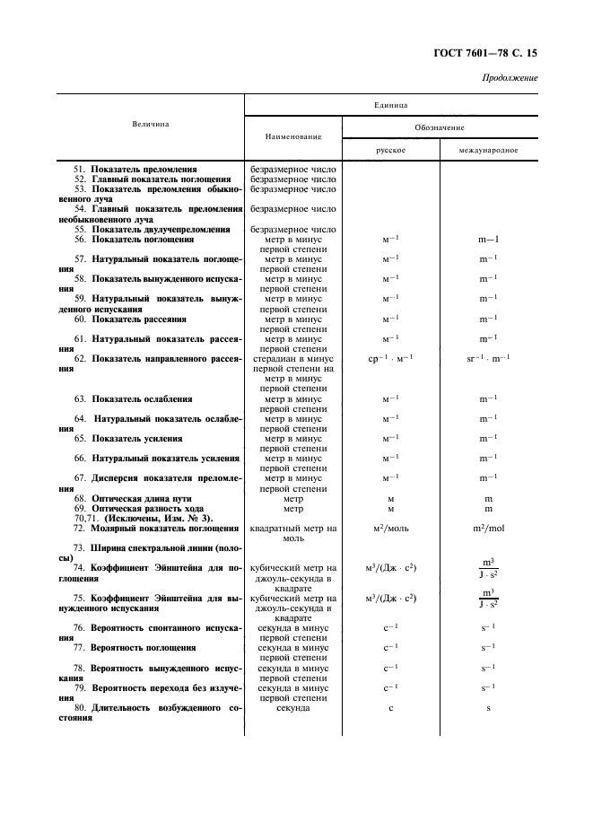
Область применения:Настоящий стандарт устанавливает применяемые в науке, технике и производстве термины, буквенные обозначения и определения основных величин физической оптики
Список изменений:№1 от 01.01.1982 (рег. 15.05.1981) «Срок действия продлен»
№2 от 01.02.1984 (рег. 31.10.1983) «Срок действия продлен»
№3 от 01.01.1986 (рег. 26.07.1985) «Срок действия продлен»
ГОСТ 7601-78ГОСТ 7601-78ГОСТ 7601-78ГОСТ 7601-78ГОСТ 7601-78ГОСТ 7601-78ГОСТ 7601-78ГОСТ 7601-78ГОСТ 7601-78ГОСТ 7601-78ГОСТ 7601-78ГОСТ 7601-78ГОСТ 7601-78ГОСТ 7601-78ГОСТ 7601-78ГОСТ 7601-78ГОСТ 7601-78ГОСТ 7601-78
 




ГОСТЫ, СТРОИТЕЛЬНЫЕ и ТЕХНИЧЕСКИЕ НОРМАТИВЫ.
Некоммерческая онлайн система, содержащая все Российские Госты, национальные Стандарты и нормативы.
В Системе содержится более 150000 файлов нормативно-технической документации, действующей на территории РФ.
Система предназначена для широкого круга инженерно-технических специалистов.

Рейтинг@Mail.ru Яндекс цитирования

Copyright © www.gostrf.com, 2008 - 2026