Крупнейшая бесплатная информационно-справочная система онлайн доступа к полному собранию технических нормативно-правовых актов РФ. Огромная база технических нормативов (более 150 тысяч документов) и полное собрание национальных стандартов, аутентичное официальной базе Госстандарта. GOSTRF.com - это более 1 Терабайта бесплатной технической информации для всех пользователей интернета. Все электронные копии представленных здесь документов могут распространяться без каких-либо ограничений. Поощряется распространение информации с этого сайта на любых других ресурсах. Каждый человек имеет право на неограниченный доступ к этим документам! Каждый человек имеет право на знание требований, изложенных в данных нормативно-правовых актах!

  


 

ГОСТ 1336-77

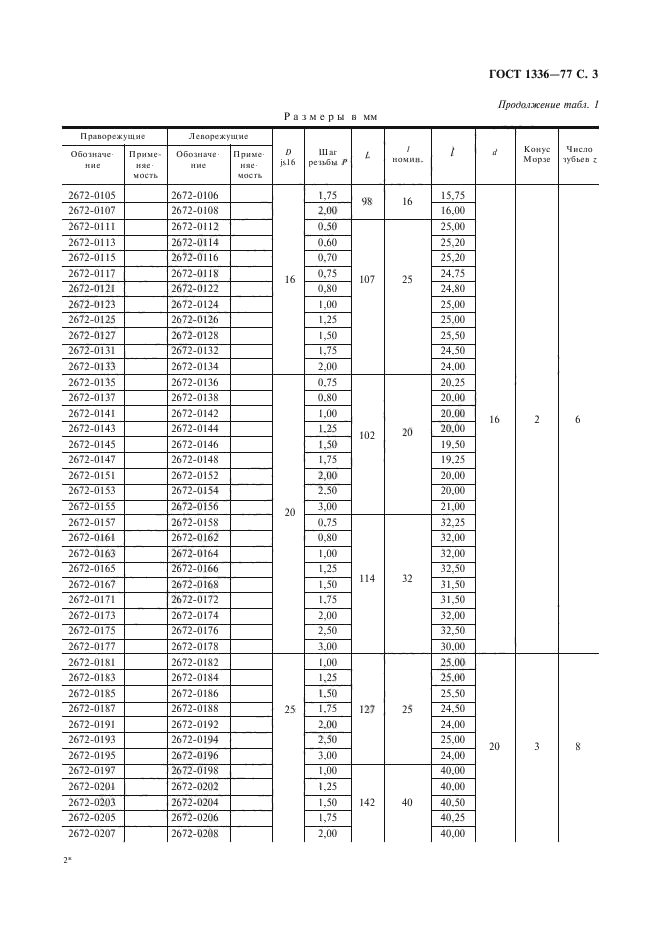
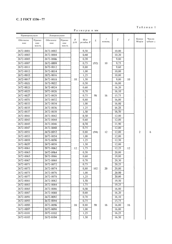
Фрезы резьбовые гребенчатые. Технические условия

Обозначение:ГОСТ 1336-77
Текущий статус документа: действующий
Название документа рус.:Фрезы резьбовые гребенчатые. Технические условия
Название документа англ.:Thread milling cutters. Specifications
Дата актуализации текста:01.12.2013
Дата издания:01.10.1997
Дата введения:30.06.1978
Дата последнего изменения:22.05.2013
Переиздание:переиздание с изм. 1
Область применения:Настоящий стандарт распространяется на резьбовые гребенчатые фрезы, предназначенные для нарезания наружных 6-й и 8-й степеней точности и внутренних 6-й и 7-й степеней точности метрических резьб с профилем по ГОСТ 24705 в изделиях из конструкционной стали
Список изменений:№1 от 01.09.1982 (рег. 06.04.1982) «Срок действия продлен»
№2 от 01.07.1985 (рег. 27.03.1985) «Срок действия продлен»
№3 от 01.09.1987 (рег. 12.03.1987) «Срок действия продлен»
№4 от 01.01.1990 (рег. 26.04.1989) «Срок действия продлен»
№5 от 01.11.1991 (рег. 24.05.1991) «Срок действия продлен»
ГОСТ 1336-77ГОСТ 1336-77ГОСТ 1336-77ГОСТ 1336-77ГОСТ 1336-77ГОСТ 1336-77ГОСТ 1336-77ГОСТ 1336-77ГОСТ 1336-77ГОСТ 1336-77ГОСТ 1336-77ГОСТ 1336-77ГОСТ 1336-77ГОСТ 1336-77ГОСТ 1336-77ГОСТ 1336-77ГОСТ 1336-77ГОСТ 1336-77ГОСТ 1336-77
 




ГОСТЫ, СТРОИТЕЛЬНЫЕ и ТЕХНИЧЕСКИЕ НОРМАТИВЫ.
Некоммерческая онлайн система, содержащая все Российские Госты, национальные Стандарты и нормативы.
В Системе содержится более 150000 файлов нормативно-технической документации, действующей на территории РФ.
Система предназначена для широкого круга инженерно-технических специалистов.

Рейтинг@Mail.ru Яндекс цитирования

Copyright © www.gostrf.com, 2008 - 2026