Крупнейшая бесплатная информационно-справочная система онлайн доступа к полному собранию технических нормативно-правовых актов РФ. Огромная база технических нормативов (более 150 тысяч документов) и полное собрание национальных стандартов, аутентичное официальной базе Госстандарта. GOSTRF.com - это более 1 Терабайта бесплатной технической информации для всех пользователей интернета. Все электронные копии представленных здесь документов могут распространяться без каких-либо ограничений. Поощряется распространение информации с этого сайта на любых других ресурсах. Каждый человек имеет право на неограниченный доступ к этим документам! Каждый человек имеет право на знание требований, изложенных в данных нормативно-правовых актах!

  


 

ГОСТ 20389-74

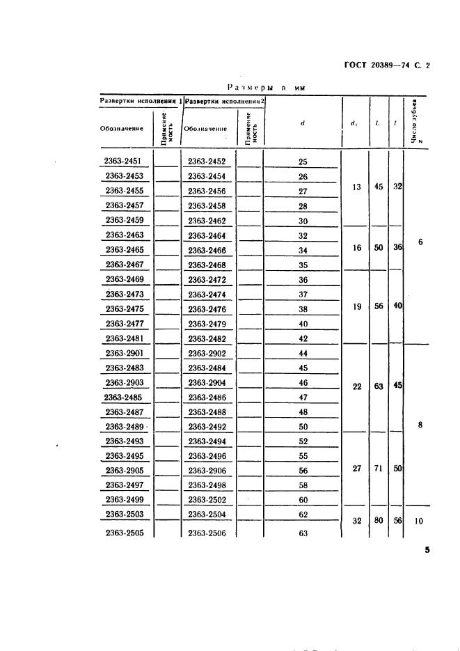
Развертки машинные насадные цельные с винтовыми канавками для обработки деталей из легких сплавов. Конструкция и размеры

Обозначение:ГОСТ 20389-74
Текущий статус документа: действующий
Название документа рус.:Развертки машинные насадные цельные с винтовыми канавками для обработки деталей из легких сплавов. Конструкция и размеры
Название документа англ.:Machine shell solid spiral-flute reamers for light alloys. Design and dimensions
Дата актуализации текста:01.12.2013
Дата издания:01.02.1995
Дата введения:01.01.1976
Дата последнего изменения:22.05.2013
Переиздание:переиздание с изм. 1
Область применения:Настоящий стандарт распространяется на цельные насадные машинные развертки с винтовыми канавками для обработки отверстий без кондукторных втулок в деталях из легких сплавов с полями допусков Н7; К7; Н8; Н9; Н10; Н11 и на развертки с припуском под доводку № 1, 2, 3, 4, 5, 6
Список изменений:№1 от 01.03.1977 (рег. 28.02.1977) «Срок действия продлен»
№2 от 01.01.1983 (рег. 02.12.1981) «Срок действия продлен»
ГОСТ 20389-74ГОСТ 20389-74ГОСТ 20389-74ГОСТ 20389-74ГОСТ 20389-74ГОСТ 20389-74
 




ГОСТЫ, СТРОИТЕЛЬНЫЕ и ТЕХНИЧЕСКИЕ НОРМАТИВЫ.
Некоммерческая онлайн система, содержащая все Российские Госты, национальные Стандарты и нормативы.
В Системе содержится более 150000 файлов нормативно-технической документации, действующей на территории РФ.
Система предназначена для широкого круга инженерно-технических специалистов.

Рейтинг@Mail.ru Яндекс цитирования

Copyright © www.gostrf.com, 2008 - 2026