Крупнейшая бесплатная информационно-справочная система онлайн доступа к полному собранию технических нормативно-правовых актов РФ. Огромная база технических нормативов (более 150 тысяч документов) и полное собрание национальных стандартов, аутентичное официальной базе Госстандарта. GOSTRF.com - это более 1 Терабайта бесплатной технической информации для всех пользователей интернета. Все электронные копии представленных здесь документов могут распространяться без каких-либо ограничений. Поощряется распространение информации с этого сайта на любых других ресурсах. Каждый человек имеет право на неограниченный доступ к этим документам! Каждый человек имеет право на знание требований, изложенных в данных нормативно-правовых актах!

  


 

ГОСТ 11112-70

Колеса с массивными резиновыми шинами безрельсового транспорта. Типы. Основные параметры и размеры

Обозначение:ГОСТ 11112-70
Текущий статус документа: действующий
Название документа рус.:Колеса с массивными резиновыми шинами безрельсового транспорта. Типы. Основные параметры и размеры
Название документа англ.:Wheels with solid rubber tyres of railless transport. Types. Basic parameters and dimensions
Дата актуализации текста:01.12.2013
Дата издания:01.11.1985
Дата введения:01.01.1971
Дата последнего изменения:22.05.2013
Переиздание:переиздание с изм. 1
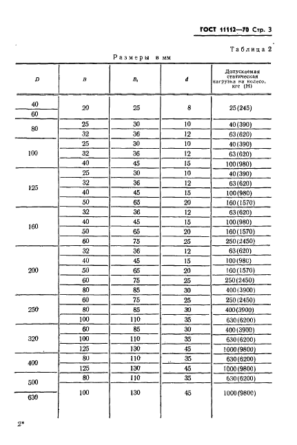
Область применения:Настоящий стандарт распространяется на колеса с массивными резиновыми шинами безрельсового транспорта с допускаемой статической нагрузкой на колесо от 25 до 4000 кгс (от 250 до 39000 Н), предназначенные для передвижного оборудования.
Стандарт не распространяется на поворотные и неповоротные колеса со стержнем и площадкой, предназначенные для медицинского оборудования
Список изменений:№1 от 01.12.1974 (рег. 01.12.1974) «Срок действия продлен»
№2 от 01.03.1985 (рег. 01.03.1985) «Срок действия продлен»
ГОСТ 11112-70ГОСТ 11112-70ГОСТ 11112-70ГОСТ 11112-70ГОСТ 11112-70ГОСТ 11112-70ГОСТ 11112-70ГОСТ 11112-70ГОСТ 11112-70ГОСТ 11112-70ГОСТ 11112-70
 




ГОСТЫ, СТРОИТЕЛЬНЫЕ и ТЕХНИЧЕСКИЕ НОРМАТИВЫ.
Некоммерческая онлайн система, содержащая все Российские Госты, национальные Стандарты и нормативы.
В Системе содержится более 150000 файлов нормативно-технической документации, действующей на территории РФ.
Система предназначена для широкого круга инженерно-технических специалистов.

Рейтинг@Mail.ru Яндекс цитирования

Copyright © www.gostrf.com, 2008 - 2026