Крупнейшая бесплатная информационно-справочная система онлайн доступа к полному собранию технических нормативно-правовых актов РФ. Огромная база технических нормативов (более 150 тысяч документов) и полное собрание национальных стандартов, аутентичное официальной базе Госстандарта. GOSTRF.com - это более 1 Терабайта бесплатной технической информации для всех пользователей интернета. Все электронные копии представленных здесь документов могут распространяться без каких-либо ограничений. Поощряется распространение информации с этого сайта на любых других ресурсах. Каждый человек имеет право на неограниченный доступ к этим документам! Каждый человек имеет право на знание требований, изложенных в данных нормативно-правовых актах!

  


 

ГОСТ 11694-66

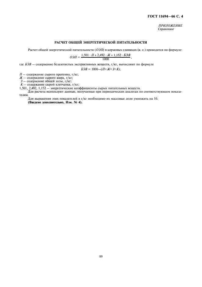
Жмых конопляный. Технические условия

Обозначение:ГОСТ 11694-66
Текущий статус документа: действующий
Название документа рус.:Жмых конопляный. Технические условия
Название документа англ.:Hempseed cake. Specifications
Дата актуализации текста:01.12.2013
Дата издания:01.01.2002
Дата введения:30.06.1966
Дата последнего изменения:22.05.2013
Переиздание:переиздание с изм. 1
Взамен:ОСТ НКПП 382
Заменяющий в части: в части разд. 1а
Область применения:Настоящий стандарт распространяется на конопляный жмых, получаемый при отжиме масла на шнековых прессах из предварительно обработанных семян конопли
Список изменений:№1 от 01.11.1984 (рег. 22.05.1984) «Срок действия продлен»
№2 от 01.07.1986 (рег. 08.01.1986) «Срок действия продлен»
№3 от 01.09.1988 (рег. 27.04.1988) «Срок действия продлен»
№4 от 01.05.1989 (рег. 14.10.1988) «Срок действия продлен»
ГОСТ 11694-66ГОСТ 11694-66ГОСТ 11694-66ГОСТ 11694-66ГОСТ 11694-66
 




ГОСТЫ, СТРОИТЕЛЬНЫЕ и ТЕХНИЧЕСКИЕ НОРМАТИВЫ.
Некоммерческая онлайн система, содержащая все Российские Госты, национальные Стандарты и нормативы.
В Системе содержится более 150000 файлов нормативно-технической документации, действующей на территории РФ.
Система предназначена для широкого круга инженерно-технических специалистов.

Рейтинг@Mail.ru Яндекс цитирования

Copyright © www.gostrf.com, 2008 - 2026