Крупнейшая бесплатная информационно-справочная система онлайн доступа к полному собранию технических нормативно-правовых актов РФ. Огромная база технических нормативов (более 150 тысяч документов) и полное собрание национальных стандартов, аутентичное официальной базе Госстандарта. GOSTRF.com - это более 1 Терабайта бесплатной технической информации для всех пользователей интернета. Все электронные копии представленных здесь документов могут распространяться без каких-либо ограничений. Поощряется распространение информации с этого сайта на любых других ресурсах. Каждый человек имеет право на неограниченный доступ к этим документам! Каждый человек имеет право на знание требований, изложенных в данных нормативно-правовых актах!

  


 

ГОСТ Р ИСО/МЭК 10732-99

Информационная технология. Использование протокола пакетного уровня для обеспечения услуг сетевого уровня ВОС в режиме с установлением соединения при работе по телефонной сети

Обозначение:ГОСТ Р ИСО/МЭК 10732-99
Текущий статус документа: действующий
Название документа рус.:Информационная технология. Использование протокола пакетного уровня для обеспечения услуг сетевого уровня ВОС в режиме с установлением соединения при работе по телефонной сети
Название документа англ.:Information technology. Use of X. 25 packet layer protocol to provide the OSI connection-mode Network Service over the telephone network
Дата актуализации текста:01.12.2013
Дата издания:13.05.1999
Дата введения:01.01.2000
Дата последнего изменения:22.05.2013
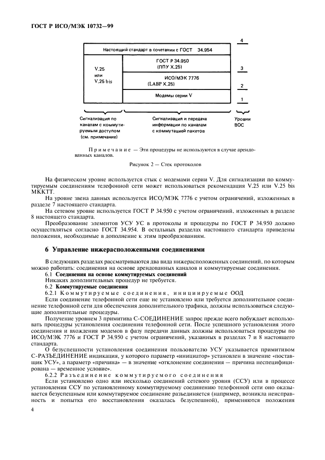
Область применения:Настоящий стандарт применим к тем конфигурациям, где протокол пакетного уровня, стандартизованный в ГОСТ Р 34.950, работает по соединению телефонной сети для обеспечения услуг сетевого уровня взаимосвязи открытых систем в режиме с установлением соединения. К этим конфигурациям относятся:
а) соединения между двумя оконечными оборудованиями данных (ООД) на основе арендованных каналов телефонной сети;
b) соединения между двумя ООД на основе коммутируемых каналов телефонной сети;
с) доступ со стороны ООД к сети данных с коммутацией пакетов (СДКП) через соединение на основе арендованных каналов телефонной сети;
d) доступ со стороны ООД к СДКП через соединение на основе коммутируемых каналов телефонной сети
ГОСТ Р ИСО/МЭК 10732-99ГОСТ Р ИСО/МЭК 10732-99ГОСТ Р ИСО/МЭК 10732-99ГОСТ Р ИСО/МЭК 10732-99ГОСТ Р ИСО/МЭК 10732-99ГОСТ Р ИСО/МЭК 10732-99ГОСТ Р ИСО/МЭК 10732-99ГОСТ Р ИСО/МЭК 10732-99ГОСТ Р ИСО/МЭК 10732-99ГОСТ Р ИСО/МЭК 10732-99ГОСТ Р ИСО/МЭК 10732-99
 




ГОСТЫ, СТРОИТЕЛЬНЫЕ и ТЕХНИЧЕСКИЕ НОРМАТИВЫ.
Некоммерческая онлайн система, содержащая все Российские Госты, национальные Стандарты и нормативы.
В Системе содержится более 150000 файлов нормативно-технической документации, действующей на территории РФ.
Система предназначена для широкого круга инженерно-технических специалистов.

Рейтинг@Mail.ru Яндекс цитирования

Copyright © www.gostrf.com, 2008 - 2026