Крупнейшая бесплатная информационно-справочная система онлайн доступа к полному собранию технических нормативно-правовых актов РФ. Огромная база технических нормативов (более 150 тысяч документов) и полное собрание национальных стандартов, аутентичное официальной базе Госстандарта. GOSTRF.com - это более 1 Терабайта бесплатной технической информации для всех пользователей интернета. Все электронные копии представленных здесь документов могут распространяться без каких-либо ограничений. Поощряется распространение информации с этого сайта на любых других ресурсах. Каждый человек имеет право на неограниченный доступ к этим документам! Каждый человек имеет право на знание требований, изложенных в данных нормативно-правовых актах!

  


 

ГОСТ Р 12.4.210-99

Система стандартов безопасности труда. Средства индивидуальной защиты органа слуха. Противошумные наушники, смонтированные с защитной каской. Общие технические требования. Методы испытаний

Обозначение:ГОСТ Р 12.4.210-99
Текущий статус документа: заменён
Название документа рус.:Система стандартов безопасности труда. Средства индивидуальной защиты органа слуха. Противошумные наушники, смонтированные с защитной каской. Общие технические требования. Методы испытаний
Название документа англ.:Occupational safety standards system. Hearing protectors. Ear-muffs attached to an industrial safety helmet. General technical requirements. Methods of testing
Дата актуализации текста:01.12.2013
Дата издания:14.09.2000
Дата введения:01.01.2002
Дата последнего изменения:22.05.2013
Дата окончания срока действия:01.07.2012
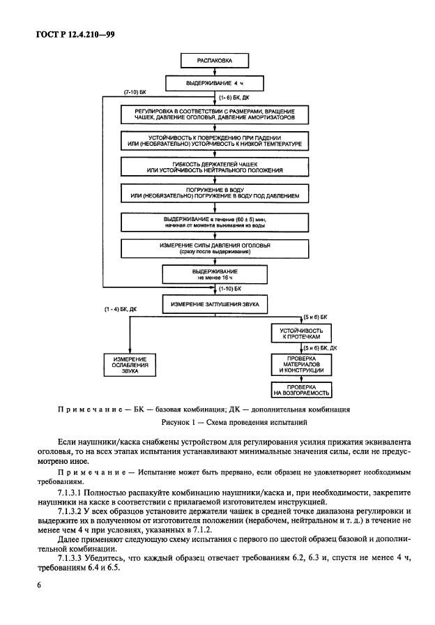
Область применения:Настоящий стандарт распространяется на средства индивидуальной защиты органов слуха от шума - противошумные наушники, смонтированные с защитной каской, и устанавливает общие технические требования и методы испытаний
ГОСТ Р 12.4.210-99ГОСТ Р 12.4.210-99ГОСТ Р 12.4.210-99ГОСТ Р 12.4.210-99ГОСТ Р 12.4.210-99ГОСТ Р 12.4.210-99ГОСТ Р 12.4.210-99ГОСТ Р 12.4.210-99ГОСТ Р 12.4.210-99ГОСТ Р 12.4.210-99ГОСТ Р 12.4.210-99ГОСТ Р 12.4.210-99ГОСТ Р 12.4.210-99ГОСТ Р 12.4.210-99ГОСТ Р 12.4.210-99ГОСТ Р 12.4.210-99ГОСТ Р 12.4.210-99ГОСТ Р 12.4.210-99ГОСТ Р 12.4.210-99ГОСТ Р 12.4.210-99ГОСТ Р 12.4.210-99ГОСТ Р 12.4.210-99ГОСТ Р 12.4.210-99ГОСТ Р 12.4.210-99
 




ГОСТЫ, СТРОИТЕЛЬНЫЕ и ТЕХНИЧЕСКИЕ НОРМАТИВЫ.
Некоммерческая онлайн система, содержащая все Российские Госты, национальные Стандарты и нормативы.
В Системе содержится более 150000 файлов нормативно-технической документации, действующей на территории РФ.
Система предназначена для широкого круга инженерно-технических специалистов.

Рейтинг@Mail.ru Яндекс цитирования

Copyright © www.gostrf.com, 2008 - 2026