Крупнейшая бесплатная информационно-справочная система онлайн доступа к полному собранию технических нормативно-правовых актов РФ. Огромная база технических нормативов (более 150 тысяч документов) и полное собрание национальных стандартов, аутентичное официальной базе Госстандарта. GOSTRF.com - это более 1 Терабайта бесплатной технической информации для всех пользователей интернета. Все электронные копии представленных здесь документов могут распространяться без каких-либо ограничений. Поощряется распространение информации с этого сайта на любых других ресурсах. Каждый человек имеет право на неограниченный доступ к этим документам! Каждый человек имеет право на знание требований, изложенных в данных нормативно-правовых актах!

  


 

ГОСТ 30457-97

Акустика. Определение уровней звуковой мощности источников шума на основе интенсивности звука. Измерение в дискретных точках. Технический метод

Обозначение:ГОСТ 30457-97
Текущий статус документа: действующий
Название документа рус.:Акустика. Определение уровней звуковой мощности источников шума на основе интенсивности звука. Измерение в дискретных точках. Технический метод
Название документа англ.:Acoustics. Determination of sound power levels of noise sources using sound intensity. Measurement at discrete points. Engineering method
Дата актуализации текста:01.12.2013
Дата издания:01.07.1998
Дата введения:01.01.1999
Дата последнего изменения:22.05.2013
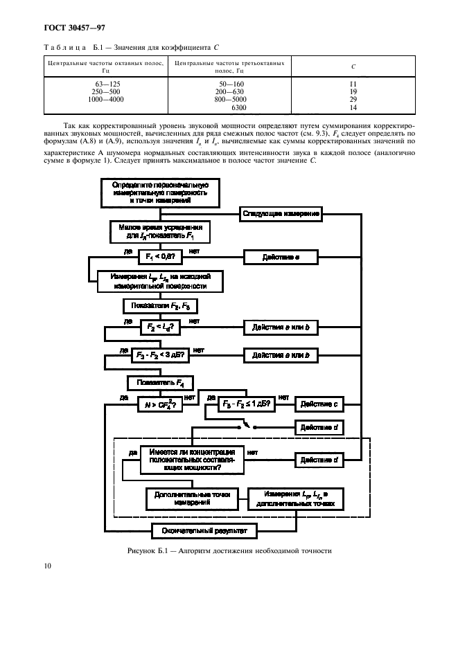
Область применения:Настоящий стандарт распространяется на источники звука, расположенные в стационарной среде, не содержащей газовые потоки, воздействующие на акустический зонд для измерения интенсивности звука, и устанавливает метод измерения интенсивности звука в дискретных точках на измерительной поверхности, а также правила вычисления уровня его звуковой мощности
Список изменений:№0 от 01.06.2009 (рег. 01.06.2009) «Дата введения перенесена»
Приложение №1:Поправка к ГОСТ 30457-97
ГОСТ 30457-97ГОСТ 30457-97ГОСТ 30457-97ГОСТ 30457-97ГОСТ 30457-97ГОСТ 30457-97ГОСТ 30457-97ГОСТ 30457-97ГОСТ 30457-97ГОСТ 30457-97ГОСТ 30457-97ГОСТ 30457-97ГОСТ 30457-97ГОСТ 30457-97ГОСТ 30457-97ГОСТ 30457-97ГОСТ 30457-97ГОСТ 30457-97ГОСТ 30457-97ГОСТ 30457-97ГОСТ 30457-97ГОСТ 30457-97

Поправка к ГОСТ 30457-97

Обозначение:Поправка к ГОСТ 30457-97
Дата введения:01.06.2009


Поправка к ГОСТ 30457-97
 




ГОСТЫ, СТРОИТЕЛЬНЫЕ и ТЕХНИЧЕСКИЕ НОРМАТИВЫ.
Некоммерческая онлайн система, содержащая все Российские Госты, национальные Стандарты и нормативы.
В Системе содержится более 150000 файлов нормативно-технической документации, действующей на территории РФ.
Система предназначена для широкого круга инженерно-технических специалистов.

Рейтинг@Mail.ru Яндекс цитирования

Copyright © www.gostrf.com, 2008 - 2026