Крупнейшая бесплатная информационно-справочная система онлайн доступа к полному собранию технических нормативно-правовых актов РФ. Огромная база технических нормативов (более 150 тысяч документов) и полное собрание национальных стандартов, аутентичное официальной базе Госстандарта. GOSTRF.com - это более 1 Терабайта бесплатной технической информации для всех пользователей интернета. Все электронные копии представленных здесь документов могут распространяться без каких-либо ограничений. Поощряется распространение информации с этого сайта на любых других ресурсах. Каждый человек имеет право на неограниченный доступ к этим документам! Каждый человек имеет право на знание требований, изложенных в данных нормативно-правовых актах!

  


 

ГОСТ 29174-91

Нефтепродукты и смазочные материалы. Масла минеральные смазочные для турбин (категории ISО-L-ТSА и ISО-L-ТGА). Технические требования

Обозначение:ГОСТ 29174-91
Текущий статус документа: действующий
Название документа рус.:Нефтепродукты и смазочные материалы. Масла минеральные смазочные для турбин (категории ISО-L-ТSА и ISО-L-ТGА). Технические требования
Название документа англ.:Petroleum products and lubricants. Petroleum lubricating oils for turbines (categories ISO-L-TSA and ISO-L-TGA). Specifications
Дата актуализации текста:01.12.2013
Дата издания:28.07.2011
Дата введения:01.01.1993
Дата последнего изменения:22.05.2013
Переиздание:переиздание
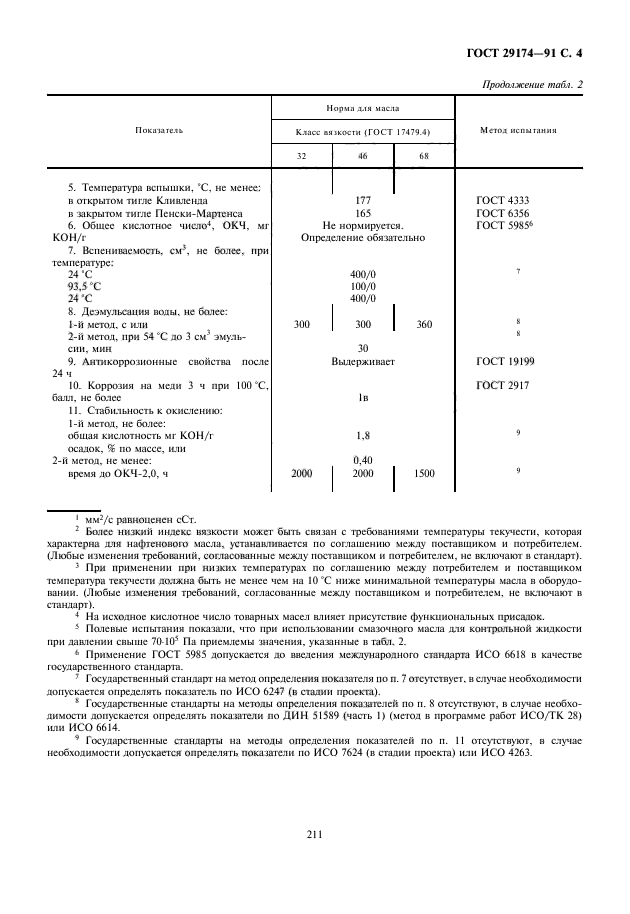
Область применения:Настоящий стандарт устанавливает необходимые характеристики минеральных масел, применяемых как смазочные жидкости для систем регулирования паровых турбин, для которых требуются масла категории TSA. Их можно также использовать для газовых турбин, которые используют масла категории TGA, и для гидротурбин. Эти масла не применяются для смазывания высоконагруженных узлов
ГОСТ 29174-91ГОСТ 29174-91ГОСТ 29174-91ГОСТ 29174-91ГОСТ 29174-91ГОСТ 29174-91
 




ГОСТЫ, СТРОИТЕЛЬНЫЕ и ТЕХНИЧЕСКИЕ НОРМАТИВЫ.
Некоммерческая онлайн система, содержащая все Российские Госты, национальные Стандарты и нормативы.
В Системе содержится более 150000 файлов нормативно-технической документации, действующей на территории РФ.
Система предназначена для широкого круга инженерно-технических специалистов.

Рейтинг@Mail.ru Яндекс цитирования

Copyright © www.gostrf.com, 2008 - 2026