Крупнейшая бесплатная информационно-справочная система онлайн доступа к полному собранию технических нормативно-правовых актов РФ. Огромная база технических нормативов (более 150 тысяч документов) и полное собрание национальных стандартов, аутентичное официальной базе Госстандарта. GOSTRF.com - это более 1 Терабайта бесплатной технической информации для всех пользователей интернета. Все электронные копии представленных здесь документов могут распространяться без каких-либо ограничений. Поощряется распространение информации с этого сайта на любых других ресурсах. Каждый человек имеет право на неограниченный доступ к этим документам! Каждый человек имеет право на знание требований, изложенных в данных нормативно-правовых актах!

  


 

ГОСТ 816-91

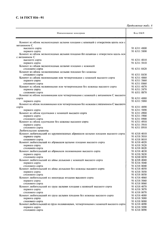
Компоты. Технические условия

Обозначение:ГОСТ 816-91
Текущий статус документа: утратил силу в РФ
Название документа рус.:Компоты. Технические условия
Название документа англ.:Stewed fruits. Specifications
Дата актуализации текста:01.12.2013
Дата издания:01.12.2002
Дата введения:31.05.1992
Дата последнего изменения:22.05.2013
Дата окончания срока действия:01.01.2013
Переиздание:переиздание
Взамен: ОСТ 18-301-76 ТУ 10 МССР 074-46-87 ТУ 10.03.723-88 ТУ 18-4-15-76
Область применения:Настоящий стандарт распространяется на компоты, изготовленные из свежего или быстрозамороженного сырья, соответствующим образом подготовленного, залитого сахарным сиропом, и устанавливает требования к продукции, изготовляемой для внутреннего рынка и экспорта
Список изменений:№0 от 01.01.2013 (рег. 13.12.2011) «Поправка к изменению»
ГОСТ 816-91ГОСТ 816-91ГОСТ 816-91ГОСТ 816-91ГОСТ 816-91ГОСТ 816-91ГОСТ 816-91ГОСТ 816-91ГОСТ 816-91ГОСТ 816-91ГОСТ 816-91ГОСТ 816-91ГОСТ 816-91ГОСТ 816-91ГОСТ 816-91ГОСТ 816-91ГОСТ 816-91ГОСТ 816-91ГОСТ 816-91ГОСТ 816-91ГОСТ 816-91ГОСТ 816-91
 




ГОСТЫ, СТРОИТЕЛЬНЫЕ и ТЕХНИЧЕСКИЕ НОРМАТИВЫ.
Некоммерческая онлайн система, содержащая все Российские Госты, национальные Стандарты и нормативы.
В Системе содержится более 150000 файлов нормативно-технической документации, действующей на территории РФ.
Система предназначена для широкого круга инженерно-технических специалистов.

Рейтинг@Mail.ru Яндекс цитирования

Copyright © www.gostrf.com, 2008 - 2026