Крупнейшая бесплатная информационно-справочная система онлайн доступа к полному собранию технических нормативно-правовых актов РФ. Огромная база технических нормативов (более 150 тысяч документов) и полное собрание национальных стандартов, аутентичное официальной базе Госстандарта. GOSTRF.com - это более 1 Терабайта бесплатной технической информации для всех пользователей интернета. Все электронные копии представленных здесь документов могут распространяться без каких-либо ограничений. Поощряется распространение информации с этого сайта на любых других ресурсах. Каждый человек имеет право на неограниченный доступ к этим документам! Каждый человек имеет право на знание требований, изложенных в данных нормативно-правовых актах!

  


 

ГОСТ 689-90

Разъединители и заземлители переменного тока на напряжение свыше 1000 В. Общие технические условия

Обозначение:ГОСТ 689-90
Текущий статус документа: утратил силу в РФ
Название документа рус.:Разъединители и заземлители переменного тока на напряжение свыше 1000 В. Общие технические условия
Название документа англ.:A.c. disconnectors and earthing switches for voltages above 1000 V. General specifications
Дата актуализации текста:01.12.2013
Дата издания:01.10.1997
Дата введения:01.07.1991
Дата последнего изменения:22.05.2013
Дата окончания срока действия:01.01.2008
Переиздание:переиздание с изм. 1
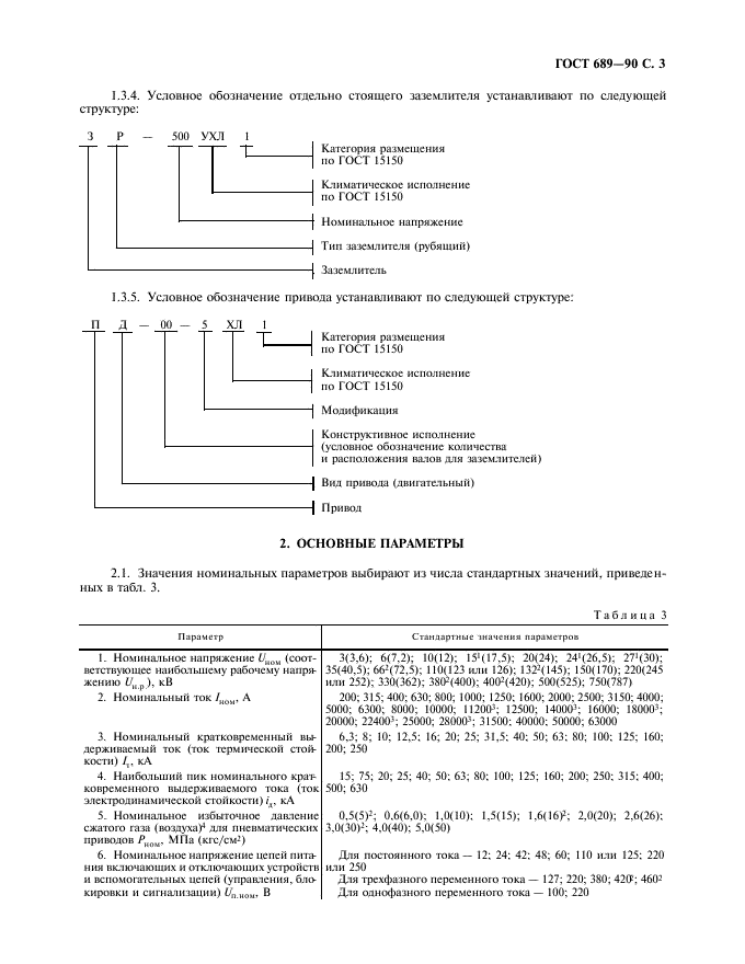
Область применения:Настоящий стандарт распространяется на разъединители и заземлители переменного тока на напряжение свыше 1000 В промышленной частоты 50 и 60 Гц, а также на приводы к этим разъединителям и заземлителям и на их вспомогательное оборудование, в том числе разъединители и заземлители и приводы к ним, предназначенные для экспорта.
Настоящий стандарт не распространяется на разъединители, заземлители и приводы к ним:
специальных исполнений;
для работы в пожаро-взрывоопасных помещениях;
для частых коммутационных операций;
для работы при сильной тряске, вибрациях или ударах
Список изменений:№0 от 01.01.2008 (рег. 08.06.2007) «Поправка к изменению»
№1 от 01.07.1995 (рег. 09.03.1995) «Срок действия продлен»
ГОСТ 689-90ГОСТ 689-90ГОСТ 689-90ГОСТ 689-90ГОСТ 689-90ГОСТ 689-90ГОСТ 689-90ГОСТ 689-90ГОСТ 689-90ГОСТ 689-90ГОСТ 689-90ГОСТ 689-90ГОСТ 689-90ГОСТ 689-90ГОСТ 689-90ГОСТ 689-90ГОСТ 689-90ГОСТ 689-90ГОСТ 689-90ГОСТ 689-90ГОСТ 689-90ГОСТ 689-90ГОСТ 689-90ГОСТ 689-90ГОСТ 689-90ГОСТ 689-90ГОСТ 689-90
 




ГОСТЫ, СТРОИТЕЛЬНЫЕ и ТЕХНИЧЕСКИЕ НОРМАТИВЫ.
Некоммерческая онлайн система, содержащая все Российские Госты, национальные Стандарты и нормативы.
В Системе содержится более 150000 файлов нормативно-технической документации, действующей на территории РФ.
Система предназначена для широкого круга инженерно-технических специалистов.

Рейтинг@Mail.ru Яндекс цитирования

Copyright © www.gostrf.com, 2008 - 2026