Крупнейшая бесплатная информационно-справочная система онлайн доступа к полному собранию технических нормативно-правовых актов РФ. Огромная база технических нормативов (более 150 тысяч документов) и полное собрание национальных стандартов, аутентичное официальной базе Госстандарта. GOSTRF.com - это более 1 Терабайта бесплатной технической информации для всех пользователей интернета. Все электронные копии представленных здесь документов могут распространяться без каких-либо ограничений. Поощряется распространение информации с этого сайта на любых других ресурсах. Каждый человек имеет право на неограниченный доступ к этим документам! Каждый человек имеет право на знание требований, изложенных в данных нормативно-правовых актах!

  


 

ГОСТ 28702-90

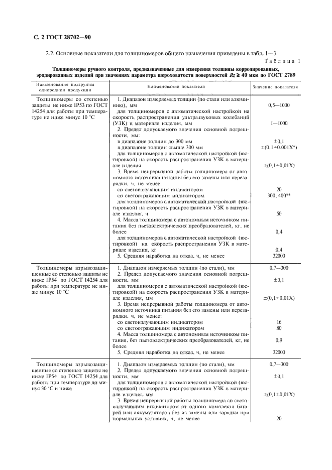
Контроль неразрушающий. Толщиномеры ультразвуковые. Общие технические требования

Обозначение:ГОСТ 28702-90
Текущий статус документа: действующий
Название документа рус.:Контроль неразрушающий. Толщиномеры ультразвуковые. Общие технические требования
Название документа англ.:Non-destructive testing. Ultrasonic thickness gauges. General technical requirements
Дата актуализации текста:01.12.2013
Дата издания:01.05.2005
Дата введения:01.01.1992
Дата последнего изменения:25.11.2013
Дата окончания срока действия:01.07.2015
Переиздание:переиздание
Взамен в части: в части акустических толщиномеров
Область применения:Настоящий стандарт распространяется на ультразвуковые толщиномеры, предназначенные для измерения толщин изделий в диапазоне от 0,1 до 1000 мм из материалов со скоростью распространения ультразвуковых колебаний в них от 1500 до 12000 м/с
Список изменений:№0 от 01.07.2015 (рег. 06.09.2013) «Поправка к изменению»
ГОСТ 28702-90ГОСТ 28702-90ГОСТ 28702-90ГОСТ 28702-90ГОСТ 28702-90ГОСТ 28702-90ГОСТ 28702-90ГОСТ 28702-90ГОСТ 28702-90ГОСТ 28702-90ГОСТ 28702-90
 




ГОСТЫ, СТРОИТЕЛЬНЫЕ и ТЕХНИЧЕСКИЕ НОРМАТИВЫ.
Некоммерческая онлайн система, содержащая все Российские Госты, национальные Стандарты и нормативы.
В Системе содержится более 150000 файлов нормативно-технической документации, действующей на территории РФ.
Система предназначена для широкого круга инженерно-технических специалистов.

Рейтинг@Mail.ru Яндекс цитирования

Copyright © www.gostrf.com, 2008 - 2026