Крупнейшая бесплатная информационно-справочная система онлайн доступа к полному собранию технических нормативно-правовых актов РФ. Огромная база технических нормативов (более 150 тысяч документов) и полное собрание национальных стандартов, аутентичное официальной базе Госстандарта. GOSTRF.com - это более 1 Терабайта бесплатной технической информации для всех пользователей интернета. Все электронные копии представленных здесь документов могут распространяться без каких-либо ограничений. Поощряется распространение информации с этого сайта на любых других ресурсах. Каждый человек имеет право на неограниченный доступ к этим документам! Каждый человек имеет право на знание требований, изложенных в данных нормативно-правовых актах!

  


 

ГОСТ 15180-86

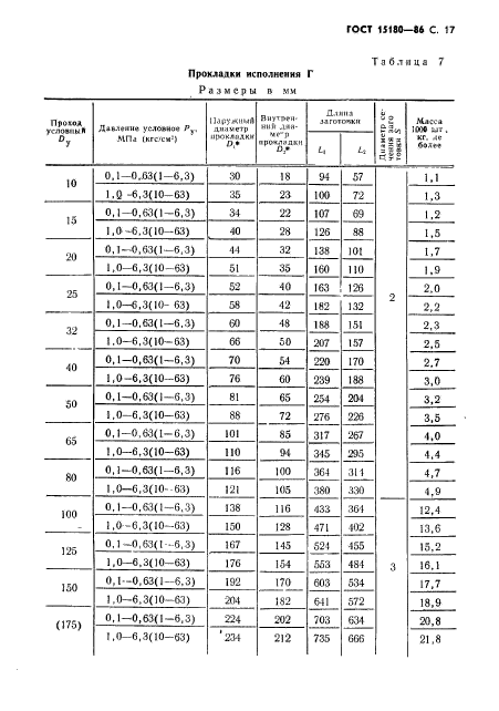
Прокладки плоские эластичные. Основные параметры и размеры

Обозначение:ГОСТ 15180-86
Текущий статус документа: действующий
Название документа рус.:Прокладки плоские эластичные. Основные параметры и размеры
Название документа англ.:Flexible flat gaskets. Main parameters and dimensions
Дата актуализации текста:01.12.2013
Дата издания:22.12.1986
Дата введения:01.01.1988
Дата последнего изменения:22.05.2013
Область применения:Настоящий стандарт распространяется на плоские эластичные прокладки из паронита, резины, картона, фторопласта-4 и композиционных материалов на их основе для фланцев арматуры, соединительных частей и трубопроводов с уплотнительными поверхностями исполнений 1-5, 8, 9 по ГОСТ 12815-80, изготовляемые на условное давление Ру от 0,1 до 20,0 МПа (от 1 до 200 кгс/см кв) и условный проход Dу от 10 до 3000 мм
ГОСТ 15180-86ГОСТ 15180-86ГОСТ 15180-86ГОСТ 15180-86ГОСТ 15180-86ГОСТ 15180-86ГОСТ 15180-86ГОСТ 15180-86ГОСТ 15180-86ГОСТ 15180-86ГОСТ 15180-86ГОСТ 15180-86ГОСТ 15180-86ГОСТ 15180-86ГОСТ 15180-86ГОСТ 15180-86ГОСТ 15180-86ГОСТ 15180-86ГОСТ 15180-86ГОСТ 15180-86ГОСТ 15180-86ГОСТ 15180-86ГОСТ 15180-86
 




ГОСТЫ, СТРОИТЕЛЬНЫЕ и ТЕХНИЧЕСКИЕ НОРМАТИВЫ.
Некоммерческая онлайн система, содержащая все Российские Госты, национальные Стандарты и нормативы.
В Системе содержится более 150000 файлов нормативно-технической документации, действующей на территории РФ.
Система предназначена для широкого круга инженерно-технических специалистов.

Рейтинг@Mail.ru Яндекс цитирования

Copyright © www.gostrf.com, 2008 - 2026