Крупнейшая бесплатная информационно-справочная система онлайн доступа к полному собранию технических нормативно-правовых актов РФ. Огромная база технических нормативов (более 150 тысяч документов) и полное собрание национальных стандартов, аутентичное официальной базе Госстандарта. GOSTRF.com - это более 1 Терабайта бесплатной технической информации для всех пользователей интернета. Все электронные копии представленных здесь документов могут распространяться без каких-либо ограничений. Поощряется распространение информации с этого сайта на любых других ресурсах. Каждый человек имеет право на неограниченный доступ к этим документам! Каждый человек имеет право на знание требований, изложенных в данных нормативно-правовых актах!

  


 

ГОСТ 26620-85

Пакеты съемных многоместных и кассетных пресс-форм и пресс-формы одноместные для изготовления манжет гидравлических устройств. Исполнительные размеры формообразующих деталей

Обозначение:ГОСТ 26620-85
Текущий статус документа: действующий
Название документа рус.:Пакеты съемных многоместных и кассетных пресс-форм и пресс-формы одноместные для изготовления манжет гидравлических устройств. Исполнительные размеры формообразующих деталей
Название документа англ.:Sets of portable multi-impression and casseta press-moulds and single impression for manufacturing rubber upacking seals. Executive dimensions of formed articies
Дата актуализации текста:01.12.2013
Дата издания:07.03.1986
Дата введения:30.06.1987
Дата последнего изменения:22.05.2013
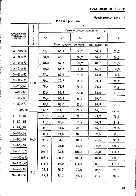
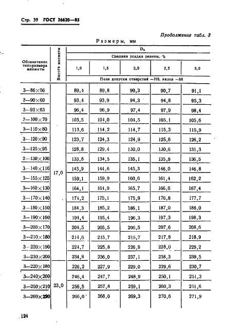
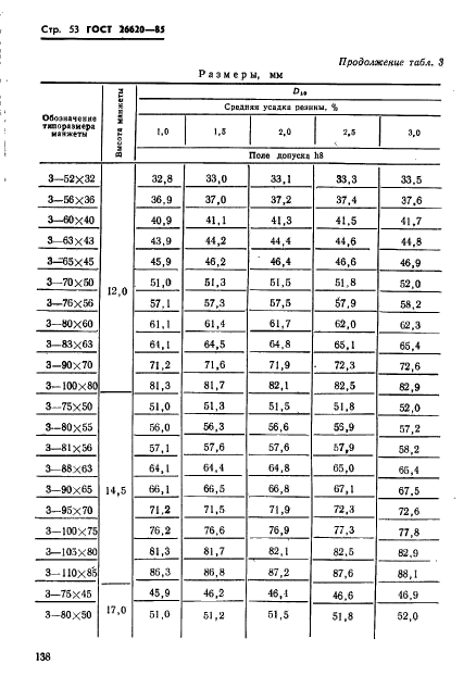
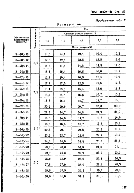
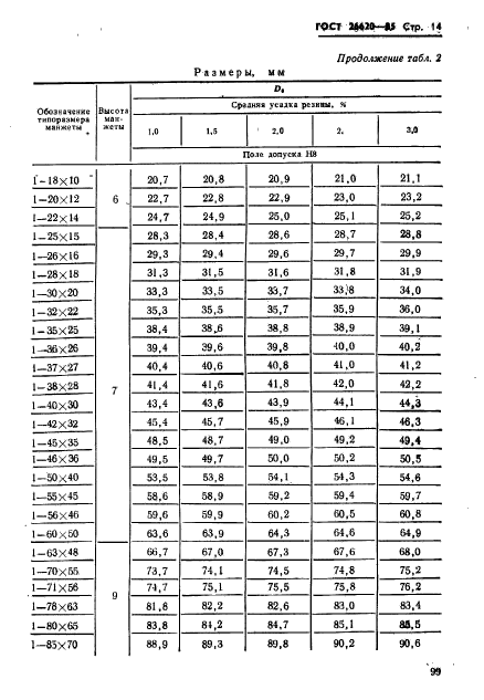
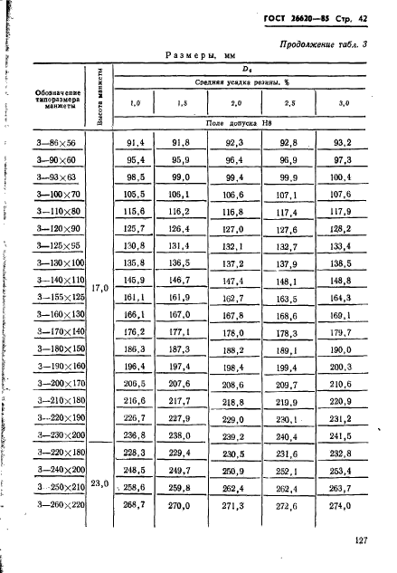
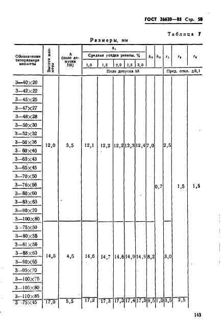
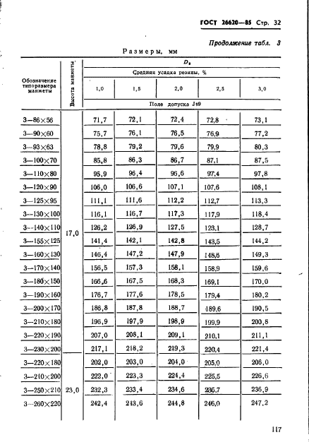
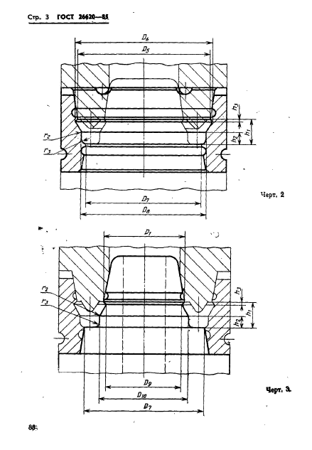
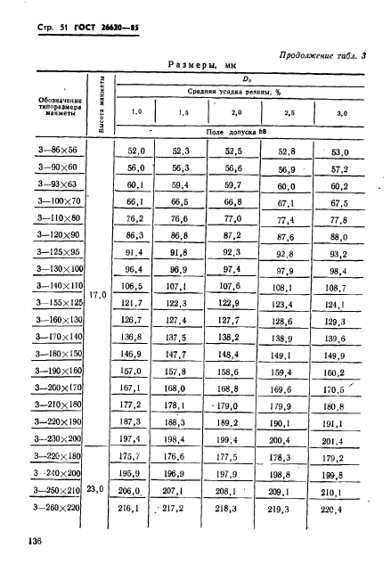
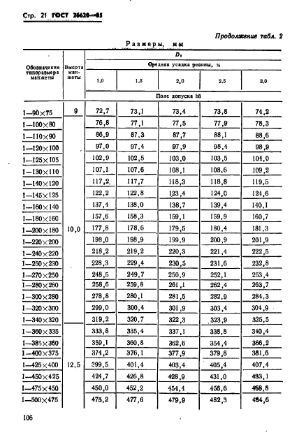
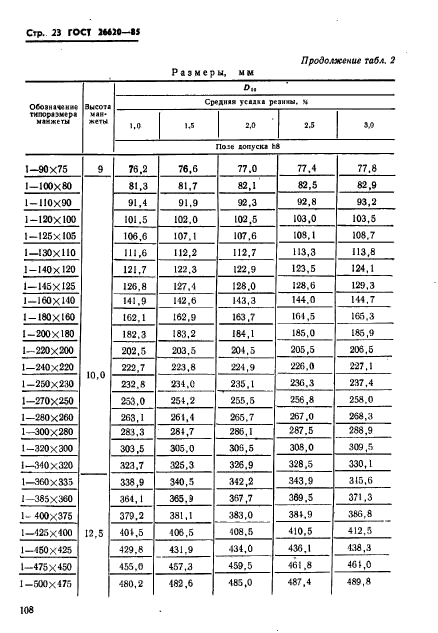
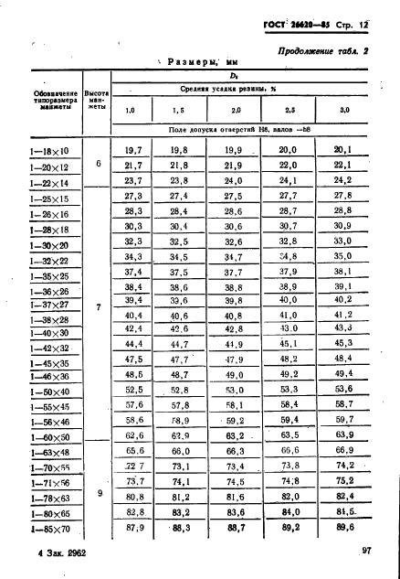
Область применения:Настоящий стандарт устанавливает исполнительные размеры формообразующих деталей пакетов съемных многоместных пресс-форм по ГОСТ 26616-85, трехкассетных пресс-форм по ГОСТ 26617-85, двухкассетных пресс-форм по ГОСТ 26618-85 и одноместных пресс-форм по ГОСТ 26619-85 для изготовления уплотнительных манжет по ГОСТ 14896-84 из резины с линейной послевулканизационной усадкой от 0,8 до 3,2 %
ГОСТ 26620-85ГОСТ 26620-85ГОСТ 26620-85ГОСТ 26620-85ГОСТ 26620-85ГОСТ 26620-85ГОСТ 26620-85ГОСТ 26620-85ГОСТ 26620-85ГОСТ 26620-85ГОСТ 26620-85ГОСТ 26620-85ГОСТ 26620-85ГОСТ 26620-85ГОСТ 26620-85ГОСТ 26620-85ГОСТ 26620-85ГОСТ 26620-85ГОСТ 26620-85ГОСТ 26620-85ГОСТ 26620-85ГОСТ 26620-85ГОСТ 26620-85ГОСТ 26620-85ГОСТ 26620-85ГОСТ 26620-85ГОСТ 26620-85ГОСТ 26620-85ГОСТ 26620-85ГОСТ 26620-85ГОСТ 26620-85ГОСТ 26620-85ГОСТ 26620-85ГОСТ 26620-85ГОСТ 26620-85ГОСТ 26620-85ГОСТ 26620-85ГОСТ 26620-85ГОСТ 26620-85ГОСТ 26620-85ГОСТ 26620-85ГОСТ 26620-85ГОСТ 26620-85ГОСТ 26620-85ГОСТ 26620-85ГОСТ 26620-85ГОСТ 26620-85ГОСТ 26620-85ГОСТ 26620-85ГОСТ 26620-85ГОСТ 26620-85ГОСТ 26620-85ГОСТ 26620-85ГОСТ 26620-85ГОСТ 26620-85ГОСТ 26620-85ГОСТ 26620-85ГОСТ 26620-85ГОСТ 26620-85
 




ГОСТЫ, СТРОИТЕЛЬНЫЕ и ТЕХНИЧЕСКИЕ НОРМАТИВЫ.
Некоммерческая онлайн система, содержащая все Российские Госты, национальные Стандарты и нормативы.
В Системе содержится более 150000 файлов нормативно-технической документации, действующей на территории РФ.
Система предназначена для широкого круга инженерно-технических специалистов.

Рейтинг@Mail.ru Яндекс цитирования

Copyright © www.gostrf.com, 2008 - 2026