Крупнейшая бесплатная информационно-справочная система онлайн доступа к полному собранию технических нормативно-правовых актов РФ. Огромная база технических нормативов (более 150 тысяч документов) и полное собрание национальных стандартов, аутентичное официальной базе Госстандарта. GOSTRF.com - это более 1 Терабайта бесплатной технической информации для всех пользователей интернета. Все электронные копии представленных здесь документов могут распространяться без каких-либо ограничений. Поощряется распространение информации с этого сайта на любых других ресурсах. Каждый человек имеет право на неограниченный доступ к этим документам! Каждый человек имеет право на знание требований, изложенных в данных нормативно-правовых актах!

  


 

ГОСТ 9198-83

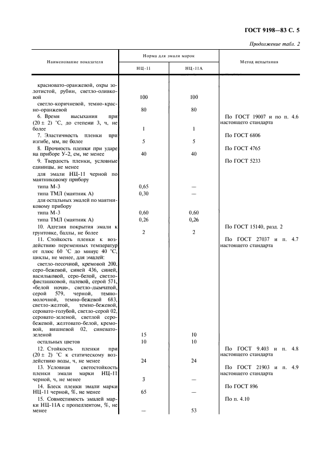
Эмали марок НЦ-11 и НЦ-11А. Технические условия

Обозначение:ГОСТ 9198-83
Текущий статус документа: действующий
Название документа рус.:Эмали марок НЦ-11 и НЦ-11А. Технические условия
Название документа англ.:Enamels of types НЦ-11 and НЦ-11А. Specifications
Дата актуализации текста:01.12.2013
Дата издания:01.04.2002
Дата введения:01.01.1984
Дата последнего изменения:22.05.2013
Переиздание:переиздание с изм. 1
Область применения:Настоящий стандарт распространяется на эмали марок НЦ-11 и НЦ-11А различных цветов, представляющие собой суспензию СВП (развальцованный пигмент с нитроцеллюлозой, пластификатором и диспергатором) в растворе коллоксилина и алкидной смолы в смеси летучих органических растворителей с добавлением пластификаторов, и для эмалей марки НЦ-11А - с добавлением полиметилсилоксановой жидкости ПМС-200А или ПМС-200
Список изменений:№1 от 01.12.1988 (рег. 24.06.1988) «Срок действия продлен»
№2 от 01.10.1992 (рег. 27.03.1992) «Срок действия продлен»
№3 от 01.01.1997 (рег. 10.12.1996) «Срок действия продлен»
ГОСТ 9198-83ГОСТ 9198-83ГОСТ 9198-83ГОСТ 9198-83ГОСТ 9198-83ГОСТ 9198-83ГОСТ 9198-83ГОСТ 9198-83ГОСТ 9198-83ГОСТ 9198-83ГОСТ 9198-83ГОСТ 9198-83ГОСТ 9198-83ГОСТ 9198-83ГОСТ 9198-83
 




ГОСТЫ, СТРОИТЕЛЬНЫЕ и ТЕХНИЧЕСКИЕ НОРМАТИВЫ.
Некоммерческая онлайн система, содержащая все Российские Госты, национальные Стандарты и нормативы.
В Системе содержится более 150000 файлов нормативно-технической документации, действующей на территории РФ.
Система предназначена для широкого круга инженерно-технических специалистов.

Рейтинг@Mail.ru Яндекс цитирования

Copyright © www.gostrf.com, 2008 - 2026