Крупнейшая бесплатная информационно-справочная система онлайн доступа к полному собранию технических нормативно-правовых актов РФ. Огромная база технических нормативов (более 150 тысяч документов) и полное собрание национальных стандартов, аутентичное официальной базе Госстандарта. GOSTRF.com - это более 1 Терабайта бесплатной технической информации для всех пользователей интернета. Все электронные копии представленных здесь документов могут распространяться без каких-либо ограничений. Поощряется распространение информации с этого сайта на любых других ресурсах. Каждый человек имеет право на неограниченный доступ к этим документам! Каждый человек имеет право на знание требований, изложенных в данных нормативно-правовых актах!

  


 

ГОСТ 17375-2001

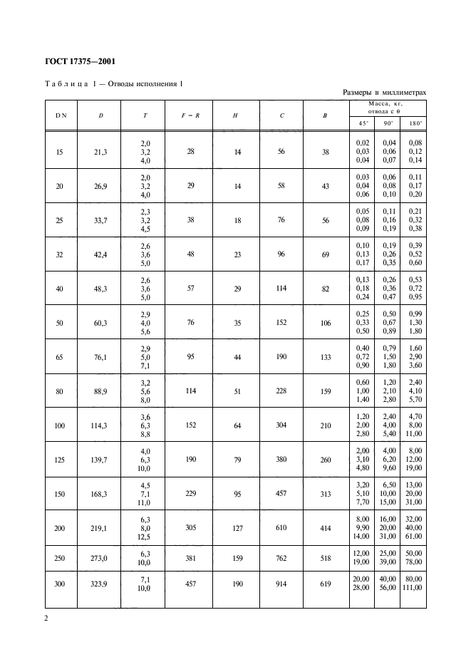
Детали трубопроводов бесшовные приварные из углеродистой и низколегированной стали. Отводы крутоизогнутые типа 3D (R=1,5 DN). Конструкция

Обозначение:ГОСТ 17375-2001
Текущий статус документа: действующий
Название документа рус.:Детали трубопроводов бесшовные приварные из углеродистой и низколегированной стали. Отводы крутоизогнутые типа 3D (R=1,5 DN). Конструкция
Название документа англ.:Carbon and low-alloy steel butt-welding fittings. Sharply curved bends type 3D (R=1,5 DN). Design
Дата актуализации текста:01.12.2013
Дата издания:14.01.2010
Дата введения:01.01.2003
Дата последнего изменения:22.05.2013
Переиздание:переиздание с изм. 1
Область применения:Настоящий стандарт распространяется на бесшовные приварные отводы из углеродистой и низколегированной стали типа 3D c R=1,5 DN, изготавливаемые из труб методами штамповки или протяжки по рогообразному сердечнику.
Область применения отводов - в соответствии с разделом 1 ГОСТ 17380
Список изменений:№1 от 01.01.2008 (рег. 13.04.2007) «Срок действия продлен»
Приложение №1:Изменение №1 к ГОСТ 17375-2001
ГОСТ 17375-2001ГОСТ 17375-2001ГОСТ 17375-2001ГОСТ 17375-2001ГОСТ 17375-2001ГОСТ 17375-2001ГОСТ 17375-2001ГОСТ 17375-2001ГОСТ 17375-2001ГОСТ 17375-2001

Изменение №1 к ГОСТ 17375-2001

Обозначение:Изменение №1 к ГОСТ 17375-2001
Дата введения:01.01.2008


Изменение №1 к ГОСТ 17375-2001
 




ГОСТЫ, СТРОИТЕЛЬНЫЕ и ТЕХНИЧЕСКИЕ НОРМАТИВЫ.
Некоммерческая онлайн система, содержащая все Российские Госты, национальные Стандарты и нормативы.
В Системе содержится более 150000 файлов нормативно-технической документации, действующей на территории РФ.
Система предназначена для широкого круга инженерно-технических специалистов.

Рейтинг@Mail.ru Яндекс цитирования

Copyright © www.gostrf.com, 2008 - 2026