Крупнейшая бесплатная информационно-справочная система онлайн доступа к полному собранию технических нормативно-правовых актов РФ. Огромная база технических нормативов (более 150 тысяч документов) и полное собрание национальных стандартов, аутентичное официальной базе Госстандарта. GOSTRF.com - это более 1 Терабайта бесплатной технической информации для всех пользователей интернета. Все электронные копии представленных здесь документов могут распространяться без каких-либо ограничений. Поощряется распространение информации с этого сайта на любых других ресурсах. Каждый человек имеет право на неограниченный доступ к этим документам! Каждый человек имеет право на знание требований, изложенных в данных нормативно-правовых актах!

  


 

ГОСТ ИСО 8124-3-2001

Игрушки. Общие требования безопасности и методы испытаний. Выделение вредных для здоровья ребенка элементов

Обозначение:ГОСТ ИСО 8124-3-2001
Текущий статус документа: действующий
Название документа рус.:Игрушки. Общие требования безопасности и методы испытаний. Выделение вредных для здоровья ребенка элементов
Название документа англ.:Toys. General safety requirements and methods of tests. Emission of toxic for children elements
Дата актуализации текста:01.12.2013
Дата издания:16.06.2006
Дата введения:31.05.2006
Дата последнего изменения:22.05.2013
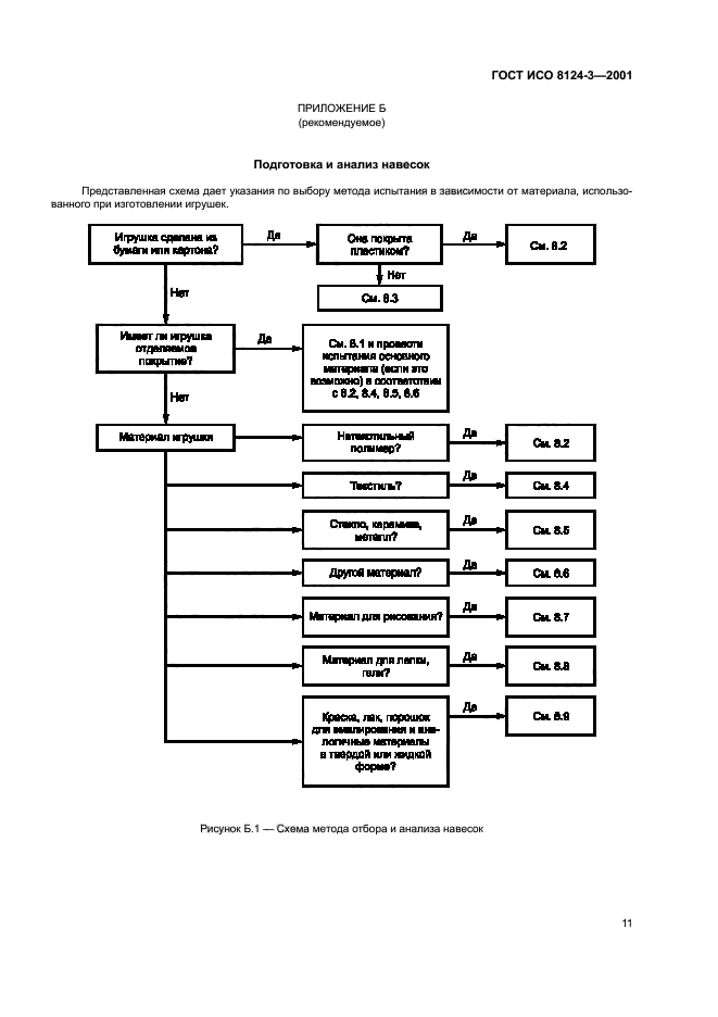
Область применения:Настоящий стандарт устанавливает требования и методы контроля выделения вредных для здоровья ребенка элементов (сурьма, мышьяк, барий, кадмий, хром, свинец, ртуть и селен), содержащихся в материалах игрушки и ее составных частях, за исключением недоступных для контакта материалов.
Требования настоящего стандарта распространяются на растворимые соединения этих элементов и не нормируют их общее содержание в материалах игрушки.
Настоящий стандарт распространяется на следующие материалы игрушек:
- покрытия из красок, лаков, глазури, типографской краски, полимеров и аналогичных материалов;
- полимеры и подобные им материалы, включая слоистые пластики, в том числе дублированные текстильные материалы;
- бумага и картон поверхностной плотностью до 400 г/м кв.;
- ткани, натуральные и синтетические;
- стекло, керамика, металлические материалы;
- другие материалы, окрашенные или неокрашенные (дерево, фанера, кожа, кость, твердый картон);
- материалы для рисования (графитовые стержни, жидкие чернила для ручек);
- материалы для лепки, включая специальные пасты и гели;
- краски, лаки, глазурь, порошки и другие аналогичные вещества для нанесения покрытий, присутствующие в игрушке в твердом или жидком состоянии.
Настоящий стандарт не применяется для игрушек или деталей игрушек, которые исключают возможность проникания токсичных элементов в организм ребенка, поскольку он не будет брать их в рот (исходя из назначения, веса, размера, других характеристик, а также, учитывая предполагаемое обращение ребенка с игрушкой такого типа)
ГОСТ ИСО 8124-3-2001ГОСТ ИСО 8124-3-2001ГОСТ ИСО 8124-3-2001ГОСТ ИСО 8124-3-2001ГОСТ ИСО 8124-3-2001ГОСТ ИСО 8124-3-2001ГОСТ ИСО 8124-3-2001ГОСТ ИСО 8124-3-2001ГОСТ ИСО 8124-3-2001ГОСТ ИСО 8124-3-2001ГОСТ ИСО 8124-3-2001ГОСТ ИСО 8124-3-2001ГОСТ ИСО 8124-3-2001ГОСТ ИСО 8124-3-2001ГОСТ ИСО 8124-3-2001ГОСТ ИСО 8124-3-2001ГОСТ ИСО 8124-3-2001ГОСТ ИСО 8124-3-2001ГОСТ ИСО 8124-3-2001
 




ГОСТЫ, СТРОИТЕЛЬНЫЕ и ТЕХНИЧЕСКИЕ НОРМАТИВЫ.
Некоммерческая онлайн система, содержащая все Российские Госты, национальные Стандарты и нормативы.
В Системе содержится более 150000 файлов нормативно-технической документации, действующей на территории РФ.
Система предназначена для широкого круга инженерно-технических специалистов.

Рейтинг@Mail.ru Яндекс цитирования

Copyright © www.gostrf.com, 2008 - 2026