Крупнейшая бесплатная информационно-справочная система онлайн доступа к полному собранию технических нормативно-правовых актов РФ. Огромная база технических нормативов (более 150 тысяч документов) и полное собрание национальных стандартов, аутентичное официальной базе Госстандарта. GOSTRF.com - это более 1 Терабайта бесплатной технической информации для всех пользователей интернета. Все электронные копии представленных здесь документов могут распространяться без каких-либо ограничений. Поощряется распространение информации с этого сайта на любых других ресурсах. Каждый человек имеет право на неограниченный доступ к этим документам! Каждый человек имеет право на знание требований, изложенных в данных нормативно-правовых актах!

  


 

ГОСТ 27842-88

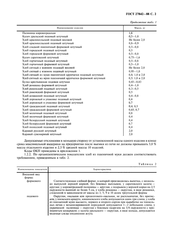
Хлеб из пшеничной муки. Технические условия

Обозначение:ГОСТ 27842-88
Текущий статус документа: действующий
Название документа рус.:Хлеб из пшеничной муки. Технические условия
Название документа англ.:Wheat bread. Specifications
Дата актуализации текста:01.12.2013
Дата издания:01.07.2006
Дата введения:01.01.1990
Дата последнего изменения:22.05.2013
Переиздание:переиздание с изм. 1
Взамен: ОСТ 18-149-74 ОСТ 18-183-74 ОСТ 18-200-74 ОСТ 18-230-75 ОСТ 18-313-77 ОСТ 18-314-77 ОСТ 18-324-78 ОСТ 18-327-78
Взамен в части:ОСТ 18-382-81 в части булки крестьянской
Область применения:Настоящий стандарт распространяется на хлеб, вырабатываемый из муки пшеничной обойной, второго, первого и высшего сортов или из их смеси с добавлением сахара, жира, молока и другого сырья
Список изменений:№1 от 01.01.1990 (рег. 15.06.1989) «Срок действия продлен»
№2 от 01.03.1993 (рег. 24.09.1992) «Поправка»
ГОСТ 27842-88ГОСТ 27842-88ГОСТ 27842-88ГОСТ 27842-88ГОСТ 27842-88ГОСТ 27842-88ГОСТ 27842-88ГОСТ 27842-88ГОСТ 27842-88ГОСТ 27842-88ГОСТ 27842-88ГОСТ 27842-88
 




ГОСТЫ, СТРОИТЕЛЬНЫЕ и ТЕХНИЧЕСКИЕ НОРМАТИВЫ.
Некоммерческая онлайн система, содержащая все Российские Госты, национальные Стандарты и нормативы.
В Системе содержится более 150000 файлов нормативно-технической документации, действующей на территории РФ.
Система предназначена для широкого круга инженерно-технических специалистов.

Рейтинг@Mail.ru Яндекс цитирования

Copyright © www.gostrf.com, 2008 - 2026