Крупнейшая бесплатная информационно-справочная система онлайн доступа к полному собранию технических нормативно-правовых актов РФ. Огромная база технических нормативов (более 150 тысяч документов) и полное собрание национальных стандартов, аутентичное официальной базе Госстандарта. GOSTRF.com - это более 1 Терабайта бесплатной технической информации для всех пользователей интернета. Все электронные копии представленных здесь документов могут распространяться без каких-либо ограничений. Поощряется распространение информации с этого сайта на любых других ресурсах. Каждый человек имеет право на неограниченный доступ к этим документам! Каждый человек имеет право на знание требований, изложенных в данных нормативно-правовых актах!

  


 

ГОСТ Р 51901.11-2005

Менеджмент риска. Исследование опасности и работоспособности. Прикладное руководство

Обозначение:ГОСТ Р 51901.11-2005
Текущий статус документа: действующий
Название документа рус.:Менеджмент риска. Исследование опасности и работоспособности. Прикладное руководство
Название документа англ.:Risk management. Hazard and operability studies. Application guide
Дата актуализации текста:01.12.2013
Дата издания:26.01.2006
Дата введения:01.01.2006
Дата последнего изменения:22.05.2013
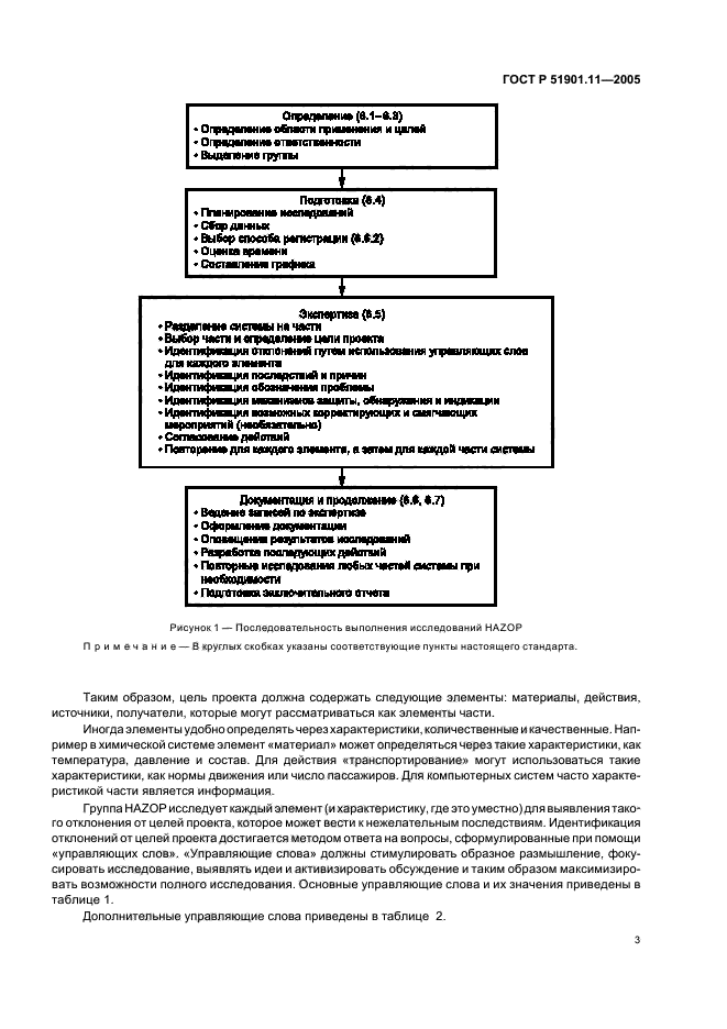
Область применения:Настоящий стандарт обеспечивает руководство по исследованию опасности и работоспособности систем, использующее набор управляющих слов, определенный в настоящем стандарте. Он также дает руководство по применению метода и процедур исследования HAZOP, включая определение, подготовку, проведение экспертизы и оформление заключительной документации
ГОСТ Р 51901.11-2005ГОСТ Р 51901.11-2005ГОСТ Р 51901.11-2005ГОСТ Р 51901.11-2005ГОСТ Р 51901.11-2005ГОСТ Р 51901.11-2005ГОСТ Р 51901.11-2005ГОСТ Р 51901.11-2005ГОСТ Р 51901.11-2005ГОСТ Р 51901.11-2005ГОСТ Р 51901.11-2005ГОСТ Р 51901.11-2005ГОСТ Р 51901.11-2005ГОСТ Р 51901.11-2005ГОСТ Р 51901.11-2005ГОСТ Р 51901.11-2005ГОСТ Р 51901.11-2005ГОСТ Р 51901.11-2005ГОСТ Р 51901.11-2005ГОСТ Р 51901.11-2005ГОСТ Р 51901.11-2005ГОСТ Р 51901.11-2005ГОСТ Р 51901.11-2005ГОСТ Р 51901.11-2005ГОСТ Р 51901.11-2005ГОСТ Р 51901.11-2005ГОСТ Р 51901.11-2005ГОСТ Р 51901.11-2005ГОСТ Р 51901.11-2005ГОСТ Р 51901.11-2005ГОСТ Р 51901.11-2005ГОСТ Р 51901.11-2005ГОСТ Р 51901.11-2005ГОСТ Р 51901.11-2005ГОСТ Р 51901.11-2005ГОСТ Р 51901.11-2005ГОСТ Р 51901.11-2005ГОСТ Р 51901.11-2005ГОСТ Р 51901.11-2005ГОСТ Р 51901.11-2005ГОСТ Р 51901.11-2005ГОСТ Р 51901.11-2005ГОСТ Р 51901.11-2005ГОСТ Р 51901.11-2005ГОСТ Р 51901.11-2005ГОСТ Р 51901.11-2005
 




ГОСТЫ, СТРОИТЕЛЬНЫЕ и ТЕХНИЧЕСКИЕ НОРМАТИВЫ.
Некоммерческая онлайн система, содержащая все Российские Госты, национальные Стандарты и нормативы.
В Системе содержится более 150000 файлов нормативно-технической документации, действующей на территории РФ.
Система предназначена для широкого круга инженерно-технических специалистов.

Рейтинг@Mail.ru Яндекс цитирования

Copyright © www.gostrf.com, 2008 - 2026