Крупнейшая бесплатная информационно-справочная система онлайн доступа к полному собранию технических нормативно-правовых актов РФ. Огромная база технических нормативов (более 150 тысяч документов) и полное собрание национальных стандартов, аутентичное официальной базе Госстандарта. GOSTRF.com - это более 1 Терабайта бесплатной технической информации для всех пользователей интернета. Все электронные копии представленных здесь документов могут распространяться без каких-либо ограничений. Поощряется распространение информации с этого сайта на любых других ресурсах. Каждый человек имеет право на неограниченный доступ к этим документам! Каждый человек имеет право на знание требований, изложенных в данных нормативно-правовых актах!

  


 

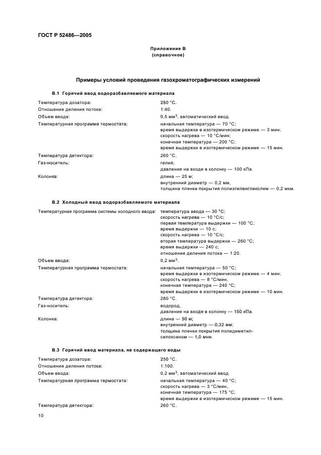
ГОСТ Р 52486-2005

Материалы лакокрасочные. Определение содержания летучих органических соединений (ЛОС). Газохроматографический метод

Обозначение:ГОСТ Р 52486-2005
Текущий статус документа: заменён
Название документа рус.:Материалы лакокрасочные. Определение содержания летучих органических соединений (ЛОС). Газохроматографический метод
Название документа англ.:Paint materials. Determination of volatile organic compound (VOC) content. Gas-chromatographic method
Дата актуализации текста:01.12.2013
Дата издания:12.04.2006
Дата введения:01.01.2007
Дата последнего изменения:22.05.2013
Дата окончания срока действия:01.07.2011
Область применения:Настоящий стандарт входит в серию стандартов на отбор проб и проведение испытаний лакокрасочных материалов.
Стандарт устанавливает метод определения содержания летучих органических соединений (ЛОС) в лакокрасочных материалах и сырье. Настоящий метод применяют при ожидаемой массовой доле ЛОС от 0,1% до 15%. Если ожидаемая массовая доля ЛОС более 15%, применяют более простой метод по ГОСТ Р 52485.
Метод основан на предположении, что летучие вещества являются водой или органическими соединениями. Когда в лакокрасочном материале присутствуют другие летучие неорганические соединения, их содержание определяют другим болеее подходящим методом и учитывают результаты такого определения при расчетах
ГОСТ Р 52486-2005ГОСТ Р 52486-2005ГОСТ Р 52486-2005ГОСТ Р 52486-2005ГОСТ Р 52486-2005ГОСТ Р 52486-2005ГОСТ Р 52486-2005ГОСТ Р 52486-2005ГОСТ Р 52486-2005ГОСТ Р 52486-2005ГОСТ Р 52486-2005ГОСТ Р 52486-2005ГОСТ Р 52486-2005ГОСТ Р 52486-2005ГОСТ Р 52486-2005ГОСТ Р 52486-2005
 




ГОСТЫ, СТРОИТЕЛЬНЫЕ и ТЕХНИЧЕСКИЕ НОРМАТИВЫ.
Некоммерческая онлайн система, содержащая все Российские Госты, национальные Стандарты и нормативы.
В Системе содержится более 150000 файлов нормативно-технической документации, действующей на территории РФ.
Система предназначена для широкого круга инженерно-технических специалистов.

Рейтинг@Mail.ru Яндекс цитирования

Copyright © www.gostrf.com, 2008 - 2026