Крупнейшая бесплатная информационно-справочная система онлайн доступа к полному собранию технических нормативно-правовых актов РФ. Огромная база технических нормативов (более 150 тысяч документов) и полное собрание национальных стандартов, аутентичное официальной базе Госстандарта. GOSTRF.com - это более 1 Терабайта бесплатной технической информации для всех пользователей интернета. Все электронные копии представленных здесь документов могут распространяться без каких-либо ограничений. Поощряется распространение информации с этого сайта на любых других ресурсах. Каждый человек имеет право на неограниченный доступ к этим документам! Каждый человек имеет право на знание требований, изложенных в данных нормативно-правовых актах!

  


 

ГОСТ Р 51166-98

Комбикорма для пушных зверей, кроликов и нутрий. Технические условия

Обозначение:ГОСТ Р 51166-98
Текущий статус документа: действующий
Название документа рус.:Комбикорма для пушных зверей, кроликов и нутрий. Технические условия
Название документа англ.:Mixed feeds for fur-bearing animals, rabbits and nutrias. Specifications
Дата актуализации текста:01.12.2013
Дата издания:01.03.2006
Дата введения:01.01.1999
Дата последнего изменения:22.05.2013
Переиздание:переиздание с изм. 1
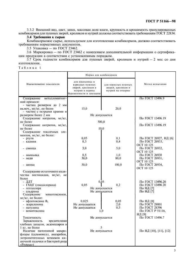
Область применения:Настоящий стандарт распространяется на комбикорма для пушных зверей (лисиц, песцов, соболей, норок), кроликов и нутрий, вырабатываемые на предприятиях всех форм собственности.
В стандарте изложены обязательные требования к комбикормам, направленные на предупреждение болезней пушных зверей, кроликов и нутрий, выпуск полноценной в ветеринарном отношении продукции и защиту населения от болезней, общих для человека и животных
Список изменений:№1 от 01.07.2000 (рег. 17.11.1999) «Срок действия продлен»
№2 от 01.01.2002 (рег. 08.05.2001) «Текстовое изменение; Изменены ссылочные НД»
Приложение №1:Изменение №2 к ГОСТ Р 51166-98
ГОСТ Р 51166-98ГОСТ Р 51166-98ГОСТ Р 51166-98ГОСТ Р 51166-98ГОСТ Р 51166-98ГОСТ Р 51166-98ГОСТ Р 51166-98ГОСТ Р 51166-98ГОСТ Р 51166-98ГОСТ Р 51166-98ГОСТ Р 51166-98

Изменение №2 к ГОСТ Р 51166-98

Обозначение:Изменение №2 к ГОСТ Р 51166-98
Дата введения:01.01.2002


Изменение №2 к ГОСТ Р 51166-98
 




ГОСТЫ, СТРОИТЕЛЬНЫЕ и ТЕХНИЧЕСКИЕ НОРМАТИВЫ.
Некоммерческая онлайн система, содержащая все Российские Госты, национальные Стандарты и нормативы.
В Системе содержится более 150000 файлов нормативно-технической документации, действующей на территории РФ.
Система предназначена для широкого круга инженерно-технических специалистов.

Рейтинг@Mail.ru Яндекс цитирования

Copyright © www.gostrf.com, 2008 - 2026