Крупнейшая бесплатная информационно-справочная система онлайн доступа к полному собранию технических нормативно-правовых актов РФ. Огромная база технических нормативов (более 150 тысяч документов) и полное собрание национальных стандартов, аутентичное официальной базе Госстандарта. GOSTRF.com - это более 1 Терабайта бесплатной технической информации для всех пользователей интернета. Все электронные копии представленных здесь документов могут распространяться без каких-либо ограничений. Поощряется распространение информации с этого сайта на любых других ресурсах. Каждый человек имеет право на неограниченный доступ к этим документам! Каждый человек имеет право на знание требований, изложенных в данных нормативно-правовых актах!

  


 

ГОСТ 8759-92

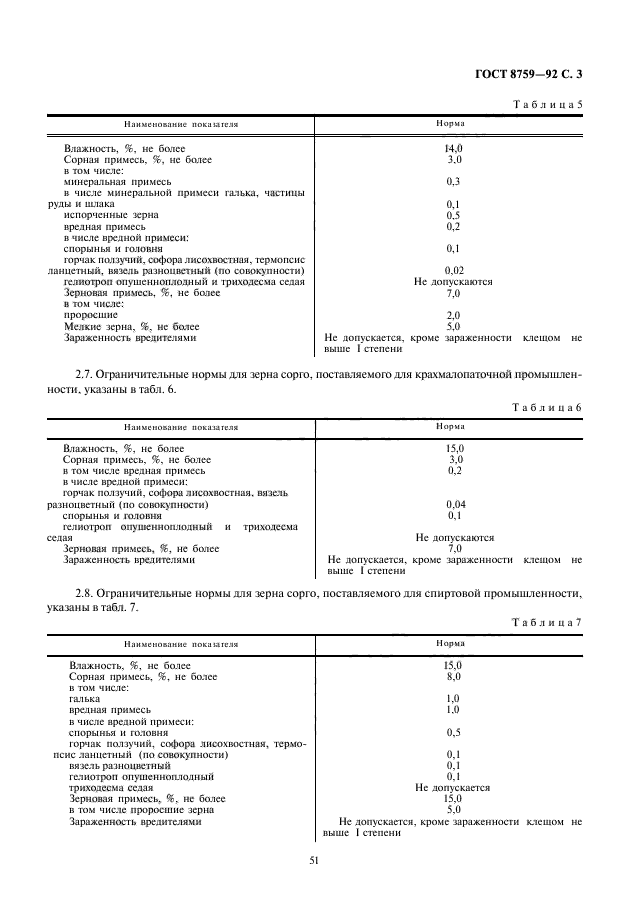
Сорго. Требования при заготовках и поставках

Обозначение:ГОСТ 8759-92
Текущий статус документа: действующий
Название документа рус.:Сорго. Требования при заготовках и поставках
Название документа англ.:Sorghum. Requirements for state purchases and deliveries
Дата актуализации текста:01.12.2013
Дата издания:28.04.2010
Дата введения:31.05.1997
Дата последнего изменения:22.05.2013
Переиздание:переиздание
Область применения:Настоящий стандарт распространяется на зерно сорго, заготовляемое государственной заготовительной системой и поставляемое на продовольственные, кормовые цели и для переработки в комбикорма
Список изменений:№0 от 01.06.1997 (рег. 21.06.1995) «Утратил силу в РФ»
№0 от 01.07.2011 (рег. 29.10.2010) «Поправка к изменению»
ГОСТ 8759-92ГОСТ 8759-92ГОСТ 8759-92ГОСТ 8759-92ГОСТ 8759-92ГОСТ 8759-92ГОСТ 8759-92ГОСТ 8759-92
 




ГОСТЫ, СТРОИТЕЛЬНЫЕ и ТЕХНИЧЕСКИЕ НОРМАТИВЫ.
Некоммерческая онлайн система, содержащая все Российские Госты, национальные Стандарты и нормативы.
В Системе содержится более 150000 файлов нормативно-технической документации, действующей на территории РФ.
Система предназначена для широкого круга инженерно-технических специалистов.

Рейтинг@Mail.ru Яндекс цитирования

Copyright © www.gostrf.com, 2008 - 2026