Крупнейшая бесплатная информационно-справочная система онлайн доступа к полному собранию технических нормативно-правовых актов РФ. Огромная база технических нормативов (более 150 тысяч документов) и полное собрание национальных стандартов, аутентичное официальной базе Госстандарта. GOSTRF.com - это более 1 Терабайта бесплатной технической информации для всех пользователей интернета. Все электронные копии представленных здесь документов могут распространяться без каких-либо ограничений. Поощряется распространение информации с этого сайта на любых других ресурсах. Каждый человек имеет право на неограниченный доступ к этим документам! Каждый человек имеет право на знание требований, изложенных в данных нормативно-правовых актах!

  


 

ГОСТ Р 50779.73-99

Статистические методы. Процедуры выборочного контроля по альтернативному признаку. Часть 3. Планы выборочного контроля с пропуском партий

Обозначение:ГОСТ Р 50779.73-99
Текущий статус документа: заменён
Название документа рус.:Статистические методы. Процедуры выборочного контроля по альтернативному признаку. Часть 3. Планы выборочного контроля с пропуском партий
Название документа англ.:Statistical methods. Sampling procedures for inspection by attributes. Part 3. Skip-lot sampling procedures
Дата актуализации текста:01.12.2013
Дата издания:01.10.2005
Дата введения:01.07.2000
Дата последнего изменения:22.05.2013
Дата окончания срока действия:01.12.2010
Переиздание:переиздание
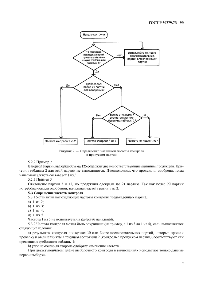
Область применения:Настоящий стандарт устанавливает общие процедуры выборочного контроля по альтернативному признаку с пропуском партий для сокращения затрат на контроль, если поставщик продемонстрировал свою способность эффективно управлять всеми аспектами качества и систематически производить партии, соответствующие установленным требованиям. Сокращение затрат на контроль достигается путем отбора из предъявляемых на контроль партий по случайному признаку с заданной вероятностью партий, которые пройдут с контролем или без него
ГОСТ Р 50779.73-99ГОСТ Р 50779.73-99ГОСТ Р 50779.73-99ГОСТ Р 50779.73-99ГОСТ Р 50779.73-99ГОСТ Р 50779.73-99ГОСТ Р 50779.73-99ГОСТ Р 50779.73-99ГОСТ Р 50779.73-99ГОСТ Р 50779.73-99ГОСТ Р 50779.73-99ГОСТ Р 50779.73-99ГОСТ Р 50779.73-99ГОСТ Р 50779.73-99ГОСТ Р 50779.73-99ГОСТ Р 50779.73-99
 




ГОСТЫ, СТРОИТЕЛЬНЫЕ и ТЕХНИЧЕСКИЕ НОРМАТИВЫ.
Некоммерческая онлайн система, содержащая все Российские Госты, национальные Стандарты и нормативы.
В Системе содержится более 150000 файлов нормативно-технической документации, действующей на территории РФ.
Система предназначена для широкого круга инженерно-технических специалистов.

Рейтинг@Mail.ru Яндекс цитирования

Copyright © www.gostrf.com, 2008 - 2026