Крупнейшая бесплатная информационно-справочная система онлайн доступа к полному собранию технических нормативно-правовых актов РФ. Огромная база технических нормативов (более 150 тысяч документов) и полное собрание национальных стандартов, аутентичное официальной базе Госстандарта. GOSTRF.com - это более 1 Терабайта бесплатной технической информации для всех пользователей интернета. Все электронные копии представленных здесь документов могут распространяться без каких-либо ограничений. Поощряется распространение информации с этого сайта на любых других ресурсах. Каждый человек имеет право на неограниченный доступ к этим документам! Каждый человек имеет право на знание требований, изложенных в данных нормативно-правовых актах!

  


 

ГОСТ Р МЭК 60870-5-101-2006

Устройства и системы телемеханики. Часть 5. Протоколы передачи. Раздел 101. Обобщающий стандарт по основным функциям телемеханики

Обозначение:ГОСТ Р МЭК 60870-5-101-2006
Текущий статус документа: действующий
Название документа рус.:Устройства и системы телемеханики. Часть 5. Протоколы передачи. Раздел 101. Обобщающий стандарт по основным функциям телемеханики
Название документа англ.:Telecontrol equipment and systems. Part 5. Transmission protocol. Section 101. Companion standard for basic telecontrol tasks
Дата актуализации текста:01.12.2013
Дата издания:17.07.2006
Дата введения:01.09.2006
Дата последнего изменения:22.05.2013
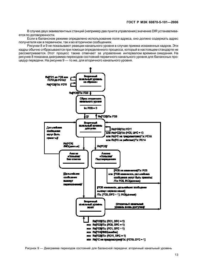
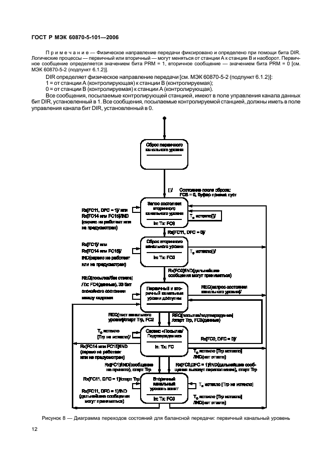
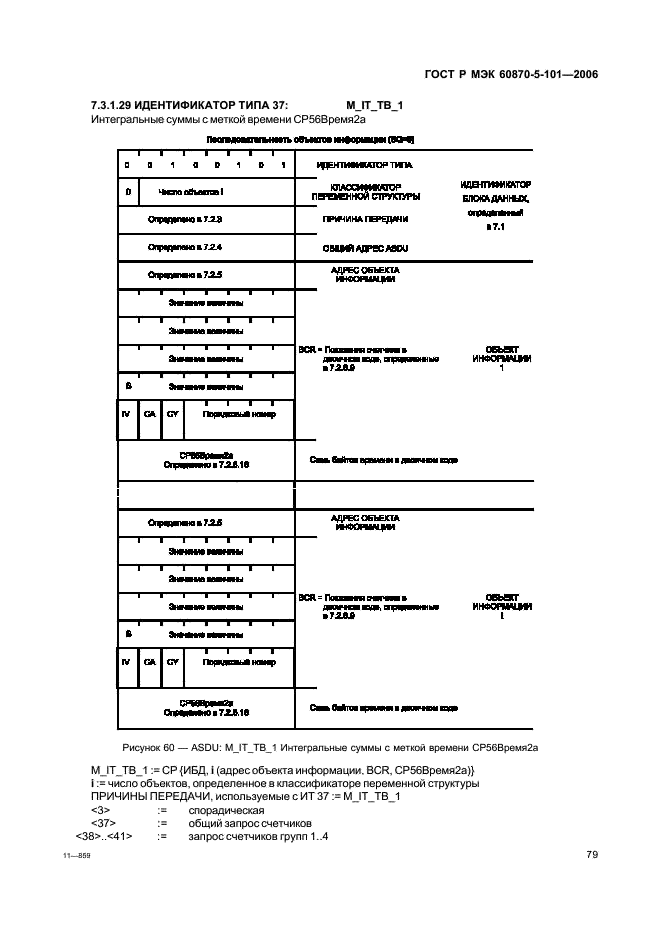
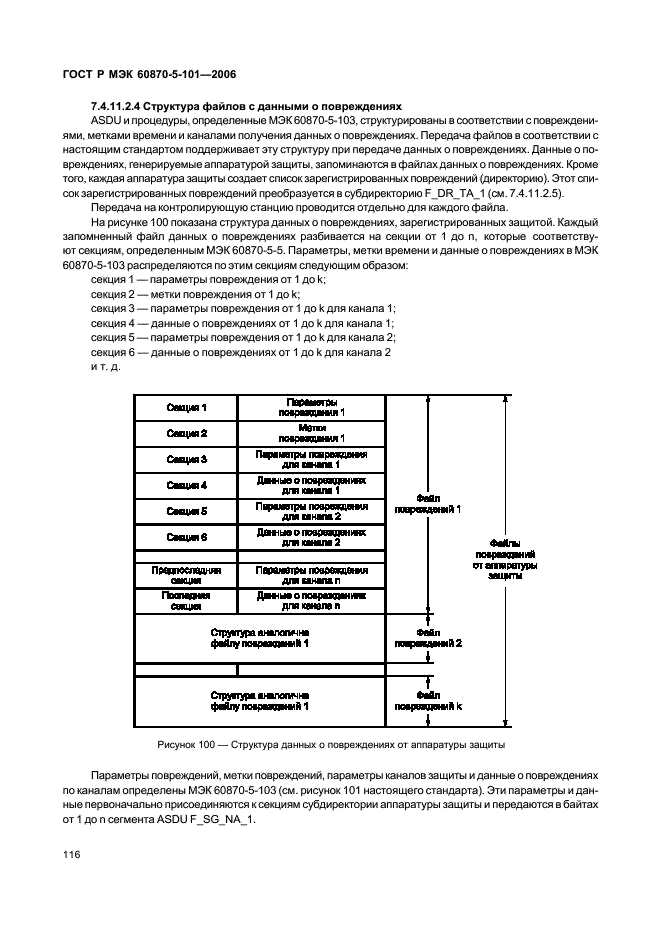
Область применения:Настоящий стандарт из серии стандартов МЭК 60870-5 распространяется на устройства и системы телемеханики с передачей данных последовательными двоичными кодами для контроля и управления территориально распределенными процессами. Раздел 101 является обобщающим стандартом по основным функциям телемеханики, что дает возможность взаимодействия различной совместимой аппаратуры телемеханики. Настоящий стандарт обобщает взаимоотношения между стандартами МЭК 60870-5-1 - МЭК 60870-5-5 и представляет правила построения функциональных профилей для основных телемеханических задач
ГОСТ Р МЭК 60870-5-101-2006ГОСТ Р МЭК 60870-5-101-2006ГОСТ Р МЭК 60870-5-101-2006ГОСТ Р МЭК 60870-5-101-2006ГОСТ Р МЭК 60870-5-101-2006ГОСТ Р МЭК 60870-5-101-2006ГОСТ Р МЭК 60870-5-101-2006ГОСТ Р МЭК 60870-5-101-2006ГОСТ Р МЭК 60870-5-101-2006ГОСТ Р МЭК 60870-5-101-2006ГОСТ Р МЭК 60870-5-101-2006ГОСТ Р МЭК 60870-5-101-2006ГОСТ Р МЭК 60870-5-101-2006ГОСТ Р МЭК 60870-5-101-2006ГОСТ Р МЭК 60870-5-101-2006ГОСТ Р МЭК 60870-5-101-2006ГОСТ Р МЭК 60870-5-101-2006ГОСТ Р МЭК 60870-5-101-2006ГОСТ Р МЭК 60870-5-101-2006ГОСТ Р МЭК 60870-5-101-2006ГОСТ Р МЭК 60870-5-101-2006ГОСТ Р МЭК 60870-5-101-2006ГОСТ Р МЭК 60870-5-101-2006ГОСТ Р МЭК 60870-5-101-2006ГОСТ Р МЭК 60870-5-101-2006ГОСТ Р МЭК 60870-5-101-2006ГОСТ Р МЭК 60870-5-101-2006ГОСТ Р МЭК 60870-5-101-2006ГОСТ Р МЭК 60870-5-101-2006ГОСТ Р МЭК 60870-5-101-2006ГОСТ Р МЭК 60870-5-101-2006ГОСТ Р МЭК 60870-5-101-2006ГОСТ Р МЭК 60870-5-101-2006ГОСТ Р МЭК 60870-5-101-2006ГОСТ Р МЭК 60870-5-101-2006ГОСТ Р МЭК 60870-5-101-2006ГОСТ Р МЭК 60870-5-101-2006ГОСТ Р МЭК 60870-5-101-2006ГОСТ Р МЭК 60870-5-101-2006ГОСТ Р МЭК 60870-5-101-2006ГОСТ Р МЭК 60870-5-101-2006ГОСТ Р МЭК 60870-5-101-2006ГОСТ Р МЭК 60870-5-101-2006ГОСТ Р МЭК 60870-5-101-2006ГОСТ Р МЭК 60870-5-101-2006ГОСТ Р МЭК 60870-5-101-2006ГОСТ Р МЭК 60870-5-101-2006ГОСТ Р МЭК 60870-5-101-2006ГОСТ Р МЭК 60870-5-101-2006ГОСТ Р МЭК 60870-5-101-2006ГОСТ Р МЭК 60870-5-101-2006ГОСТ Р МЭК 60870-5-101-2006ГОСТ Р МЭК 60870-5-101-2006ГОСТ Р МЭК 60870-5-101-2006ГОСТ Р МЭК 60870-5-101-2006ГОСТ Р МЭК 60870-5-101-2006ГОСТ Р МЭК 60870-5-101-2006ГОСТ Р МЭК 60870-5-101-2006ГОСТ Р МЭК 60870-5-101-2006ГОСТ Р МЭК 60870-5-101-2006ГОСТ Р МЭК 60870-5-101-2006ГОСТ Р МЭК 60870-5-101-2006ГОСТ Р МЭК 60870-5-101-2006ГОСТ Р МЭК 60870-5-101-2006ГОСТ Р МЭК 60870-5-101-2006ГОСТ Р МЭК 60870-5-101-2006ГОСТ Р МЭК 60870-5-101-2006ГОСТ Р МЭК 60870-5-101-2006ГОСТ Р МЭК 60870-5-101-2006ГОСТ Р МЭК 60870-5-101-2006ГОСТ Р МЭК 60870-5-101-2006ГОСТ Р МЭК 60870-5-101-2006ГОСТ Р МЭК 60870-5-101-2006ГОСТ Р МЭК 60870-5-101-2006ГОСТ Р МЭК 60870-5-101-2006ГОСТ Р МЭК 60870-5-101-2006ГОСТ Р МЭК 60870-5-101-2006ГОСТ Р МЭК 60870-5-101-2006ГОСТ Р МЭК 60870-5-101-2006ГОСТ Р МЭК 60870-5-101-2006ГОСТ Р МЭК 60870-5-101-2006ГОСТ Р МЭК 60870-5-101-2006ГОСТ Р МЭК 60870-5-101-2006ГОСТ Р МЭК 60870-5-101-2006ГОСТ Р МЭК 60870-5-101-2006ГОСТ Р МЭК 60870-5-101-2006ГОСТ Р МЭК 60870-5-101-2006ГОСТ Р МЭК 60870-5-101-2006ГОСТ Р МЭК 60870-5-101-2006ГОСТ Р МЭК 60870-5-101-2006ГОСТ Р МЭК 60870-5-101-2006ГОСТ Р МЭК 60870-5-101-2006ГОСТ Р МЭК 60870-5-101-2006ГОСТ Р МЭК 60870-5-101-2006ГОСТ Р МЭК 60870-5-101-2006ГОСТ Р МЭК 60870-5-101-2006ГОСТ Р МЭК 60870-5-101-2006ГОСТ Р МЭК 60870-5-101-2006ГОСТ Р МЭК 60870-5-101-2006ГОСТ Р МЭК 60870-5-101-2006ГОСТ Р МЭК 60870-5-101-2006ГОСТ Р МЭК 60870-5-101-2006ГОСТ Р МЭК 60870-5-101-2006ГОСТ Р МЭК 60870-5-101-2006ГОСТ Р МЭК 60870-5-101-2006ГОСТ Р МЭК 60870-5-101-2006ГОСТ Р МЭК 60870-5-101-2006ГОСТ Р МЭК 60870-5-101-2006ГОСТ Р МЭК 60870-5-101-2006ГОСТ Р МЭК 60870-5-101-2006ГОСТ Р МЭК 60870-5-101-2006ГОСТ Р МЭК 60870-5-101-2006ГОСТ Р МЭК 60870-5-101-2006ГОСТ Р МЭК 60870-5-101-2006ГОСТ Р МЭК 60870-5-101-2006ГОСТ Р МЭК 60870-5-101-2006ГОСТ Р МЭК 60870-5-101-2006ГОСТ Р МЭК 60870-5-101-2006ГОСТ Р МЭК 60870-5-101-2006ГОСТ Р МЭК 60870-5-101-2006ГОСТ Р МЭК 60870-5-101-2006ГОСТ Р МЭК 60870-5-101-2006ГОСТ Р МЭК 60870-5-101-2006ГОСТ Р МЭК 60870-5-101-2006ГОСТ Р МЭК 60870-5-101-2006ГОСТ Р МЭК 60870-5-101-2006ГОСТ Р МЭК 60870-5-101-2006ГОСТ Р МЭК 60870-5-101-2006ГОСТ Р МЭК 60870-5-101-2006ГОСТ Р МЭК 60870-5-101-2006ГОСТ Р МЭК 60870-5-101-2006ГОСТ Р МЭК 60870-5-101-2006ГОСТ Р МЭК 60870-5-101-2006ГОСТ Р МЭК 60870-5-101-2006ГОСТ Р МЭК 60870-5-101-2006ГОСТ Р МЭК 60870-5-101-2006ГОСТ Р МЭК 60870-5-101-2006ГОСТ Р МЭК 60870-5-101-2006ГОСТ Р МЭК 60870-5-101-2006ГОСТ Р МЭК 60870-5-101-2006ГОСТ Р МЭК 60870-5-101-2006ГОСТ Р МЭК 60870-5-101-2006ГОСТ Р МЭК 60870-5-101-2006ГОСТ Р МЭК 60870-5-101-2006ГОСТ Р МЭК 60870-5-101-2006
 




ГОСТЫ, СТРОИТЕЛЬНЫЕ и ТЕХНИЧЕСКИЕ НОРМАТИВЫ.
Некоммерческая онлайн система, содержащая все Российские Госты, национальные Стандарты и нормативы.
В Системе содержится более 150000 файлов нормативно-технической документации, действующей на территории РФ.
Система предназначена для широкого круга инженерно-технических специалистов.

Рейтинг@Mail.ru Яндекс цитирования

Copyright © www.gostrf.com, 2008 - 2026