Крупнейшая бесплатная информационно-справочная система онлайн доступа к полному собранию технических нормативно-правовых актов РФ. Огромная база технических нормативов (более 150 тысяч документов) и полное собрание национальных стандартов, аутентичное официальной базе Госстандарта. GOSTRF.com - это более 1 Терабайта бесплатной технической информации для всех пользователей интернета. Все электронные копии представленных здесь документов могут распространяться без каких-либо ограничений. Поощряется распространение информации с этого сайта на любых других ресурсах. Каждый человек имеет право на неограниченный доступ к этим документам! Каждый человек имеет право на знание требований, изложенных в данных нормативно-правовых актах!

  


 

ГОСТ 8639-82

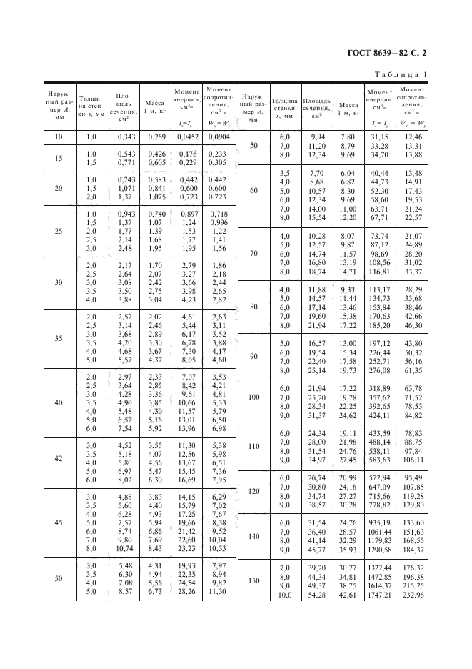
Трубы стальные квадратные. Сортамент

Обозначение:ГОСТ 8639-82
Текущий статус документа: действующий
Название документа рус.:Трубы стальные квадратные. Сортамент
Название документа англ.:Square steel tubes. Range
Дата актуализации текста:01.12.2013
Дата издания:01.12.2005
Дата введения:01.01.1983
Дата последнего изменения:22.05.2013
Переиздание:переиздание с изм. 1
Область применения:Настоящий стандарт распространяется на стальные бесшовные горячедеформированные и холоднодеформированные, электросварные и электросварные холоднодеформированные трубы
Список изменений:№1 от 01.02.1988 (рег. 24.06.1987) «Срок действия продлен»
№2 от 01.04.1990 (рег. 17.11.1989) «Срок действия продлен»
№3 от 01.02.1993 (рег. 07.09.1992) «Срок действия продлен»
№4 от 01.09.2010 (рег. 17.06.2010) «Срок действия продлен»
Приложение №1:Изменение №4 к ГОСТ 8639-82
ГОСТ 8639-82ГОСТ 8639-82ГОСТ 8639-82ГОСТ 8639-82ГОСТ 8639-82ГОСТ 8639-82ГОСТ 8639-82ГОСТ 8639-82ГОСТ 8639-82ГОСТ 8639-82ГОСТ 8639-82ГОСТ 8639-82

Изменение №4 к ГОСТ 8639-82

Обозначение:Изменение №4 к ГОСТ 8639-82
Дата введения:01.09.2010


Изменение №4 к ГОСТ 8639-82Изменение №4 к ГОСТ 8639-82Изменение №4 к ГОСТ 8639-82Изменение №4 к ГОСТ 8639-82Изменение №4 к ГОСТ 8639-82
 




ГОСТЫ, СТРОИТЕЛЬНЫЕ и ТЕХНИЧЕСКИЕ НОРМАТИВЫ.
Некоммерческая онлайн система, содержащая все Российские Госты, национальные Стандарты и нормативы.
В Системе содержится более 150000 файлов нормативно-технической документации, действующей на территории РФ.
Система предназначена для широкого круга инженерно-технических специалистов.

Рейтинг@Mail.ru Яндекс цитирования

Copyright © www.gostrf.com, 2008 - 2026