Крупнейшая бесплатная информационно-справочная система онлайн доступа к полному собранию технических нормативно-правовых актов РФ. Огромная база технических нормативов (более 150 тысяч документов) и полное собрание национальных стандартов, аутентичное официальной базе Госстандарта. GOSTRF.com - это более 1 Терабайта бесплатной технической информации для всех пользователей интернета. Все электронные копии представленных здесь документов могут распространяться без каких-либо ограничений. Поощряется распространение информации с этого сайта на любых других ресурсах. Каждый человек имеет право на неограниченный доступ к этим документам! Каждый человек имеет право на знание требований, изложенных в данных нормативно-правовых актах!

  


 

ГОСТ 16775-93

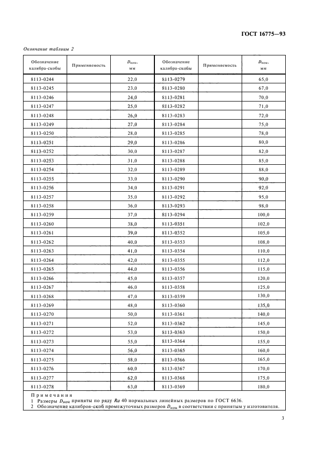
Калибры-скобы гладкие, оснащенные твердым сплавом, для диаметров от 3 до 180 мм. Размеры

Обозначение:ГОСТ 16775-93
Текущий статус документа: действующий
Название документа рус.:Калибры-скобы гладкие, оснащенные твердым сплавом, для диаметров от 3 до 180 мм. Размеры
Название документа англ.:Plain snap gauges with cemented carbide alloy plates for diameters from 3 to 180 mm. Dimensions
Дата актуализации текста:01.12.2013
Дата издания:01.01.2008
Дата введения:01.01.1995
Дата последнего изменения:22.05.2013
Переиздание:переиздание
Взамен:
Область применения:Настоящий стандарт распространяется на гладкие калибры-скобы с пластинами из твердого сплава для контроля валов диаметрами от 3 до 180 мм с допусками по ЕСДП от 6-го до 12-го квалитета и допусками по системе ОСТ от 2-го до 5-го класса точности
ГОСТ 16775-93ГОСТ 16775-93ГОСТ 16775-93ГОСТ 16775-93ГОСТ 16775-93ГОСТ 16775-93ГОСТ 16775-93ГОСТ 16775-93
 




ГОСТЫ, СТРОИТЕЛЬНЫЕ и ТЕХНИЧЕСКИЕ НОРМАТИВЫ.
Некоммерческая онлайн система, содержащая все Российские Госты, национальные Стандарты и нормативы.
В Системе содержится более 150000 файлов нормативно-технической документации, действующей на территории РФ.
Система предназначена для широкого круга инженерно-технических специалистов.

Рейтинг@Mail.ru Яндекс цитирования

Copyright © www.gostrf.com, 2008 - 2026