Крупнейшая бесплатная информационно-справочная система онлайн доступа к полному собранию технических нормативно-правовых актов РФ. Огромная база технических нормативов (более 150 тысяч документов) и полное собрание национальных стандартов, аутентичное официальной базе Госстандарта. GOSTRF.com - это более 1 Терабайта бесплатной технической информации для всех пользователей интернета. Все электронные копии представленных здесь документов могут распространяться без каких-либо ограничений. Поощряется распространение информации с этого сайта на любых других ресурсах. Каждый человек имеет право на неограниченный доступ к этим документам! Каждый человек имеет право на знание требований, изложенных в данных нормативно-правовых актах!

  


 

ГОСТ Р 52573-2006

Географическая информация. Метаданные

Обозначение:ГОСТ Р 52573-2006
Текущий статус документа: действующий
Название документа рус.:Географическая информация. Метаданные
Название документа англ.:Geographic information. Metadata
Дата актуализации текста:01.12.2013
Дата издания:27.11.2006
Дата введения:01.01.2007
Дата последнего изменения:22.05.2013
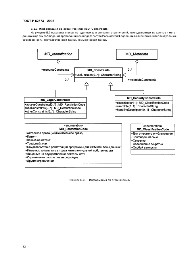
Область применения:Настоящий стандарт распространяется на метаданные пространственных данных и метаданные услуг, связанные с предоставлением пространственных данных пользователям.
Стандарт устанавливает методологию формирования метаданных и определяет:
- базовый набор метаданных, необходимый и достаточный для основных операций, таких как поиск данных, определение соответствия данных выдвигаемым требованиям, доступ к данным и их использование;
- обязательные и условные пакеты метаданных, сущности и элементы метаданных;
- дополнительные (необязательные) элементы метаданных, позволяющие при необходимости использовать их расширенное описание.
Стандарт предназначен для применения учреждениями, организациями и предприятиями, создающими геоинформационные системы различного назначения, базы и банки пространственных данных, а также автоматизированные системы обработки пространственных данных, в том числе в сети Интернет
Список изменений:№0 от 01.03.2007 (рег. 01.03.2007) «Дата введения перенесена»
Приложение №1:Поправка к ГОСТ Р 52573-2006
ГОСТ Р 52573-2006ГОСТ Р 52573-2006ГОСТ Р 52573-2006ГОСТ Р 52573-2006ГОСТ Р 52573-2006ГОСТ Р 52573-2006ГОСТ Р 52573-2006ГОСТ Р 52573-2006ГОСТ Р 52573-2006ГОСТ Р 52573-2006ГОСТ Р 52573-2006ГОСТ Р 52573-2006ГОСТ Р 52573-2006ГОСТ Р 52573-2006ГОСТ Р 52573-2006ГОСТ Р 52573-2006ГОСТ Р 52573-2006ГОСТ Р 52573-2006ГОСТ Р 52573-2006ГОСТ Р 52573-2006ГОСТ Р 52573-2006ГОСТ Р 52573-2006ГОСТ Р 52573-2006ГОСТ Р 52573-2006ГОСТ Р 52573-2006ГОСТ Р 52573-2006ГОСТ Р 52573-2006ГОСТ Р 52573-2006ГОСТ Р 52573-2006ГОСТ Р 52573-2006ГОСТ Р 52573-2006ГОСТ Р 52573-2006ГОСТ Р 52573-2006ГОСТ Р 52573-2006ГОСТ Р 52573-2006ГОСТ Р 52573-2006ГОСТ Р 52573-2006ГОСТ Р 52573-2006ГОСТ Р 52573-2006ГОСТ Р 52573-2006ГОСТ Р 52573-2006ГОСТ Р 52573-2006ГОСТ Р 52573-2006ГОСТ Р 52573-2006ГОСТ Р 52573-2006ГОСТ Р 52573-2006ГОСТ Р 52573-2006ГОСТ Р 52573-2006ГОСТ Р 52573-2006ГОСТ Р 52573-2006ГОСТ Р 52573-2006ГОСТ Р 52573-2006ГОСТ Р 52573-2006ГОСТ Р 52573-2006ГОСТ Р 52573-2006ГОСТ Р 52573-2006ГОСТ Р 52573-2006ГОСТ Р 52573-2006ГОСТ Р 52573-2006

Поправка к ГОСТ Р 52573-2006

Обозначение:Поправка к ГОСТ Р 52573-2006
Дата введения:01.03.2007


Поправка к ГОСТ Р 52573-2006
 




ГОСТЫ, СТРОИТЕЛЬНЫЕ и ТЕХНИЧЕСКИЕ НОРМАТИВЫ.
Некоммерческая онлайн система, содержащая все Российские Госты, национальные Стандарты и нормативы.
В Системе содержится более 150000 файлов нормативно-технической документации, действующей на территории РФ.
Система предназначена для широкого круга инженерно-технических специалистов.

Рейтинг@Mail.ru Яндекс цитирования

Copyright © www.gostrf.com, 2008 - 2026