Крупнейшая бесплатная информационно-справочная система онлайн доступа к полному собранию технических нормативно-правовых актов РФ. Огромная база технических нормативов (более 150 тысяч документов) и полное собрание национальных стандартов, аутентичное официальной базе Госстандарта. GOSTRF.com - это более 1 Терабайта бесплатной технической информации для всех пользователей интернета. Все электронные копии представленных здесь документов могут распространяться без каких-либо ограничений. Поощряется распространение информации с этого сайта на любых других ресурсах. Каждый человек имеет право на неограниченный доступ к этим документам! Каждый человек имеет право на знание требований, изложенных в данных нормативно-правовых актах!

  


 

ГОСТ 16504-81

Система государственных испытаний продукции. Испытания и контроль качества продукции. Основные термины и определения

Обозначение:ГОСТ 16504-81
Текущий статус документа: действующий
Название документа рус.:Система государственных испытаний продукции. Испытания и контроль качества продукции. Основные термины и определения
Название документа англ.:The state system of testing products. Product test and quality inspection. General terms and definitions
Дата актуализации текста:01.12.2013
Дата издания:15.06.2011
Дата введения:01.01.1982
Дата последнего изменения:22.05.2013
Переиздание:переиздание с изм. 1
Область применения:Настоящий стандарт устанавливает применяемые в науке, технике и производстве термины и определения основных понятий в области испытаний и контроля качества продукции.
Термины, установленные настоящим стандартом, обязательны для применения в документации всех видов, научно-технической, учебной и справочной литературе
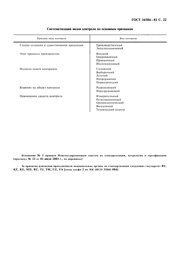
Список изменений:№0 от 01.06.2004 (рег. 01.06.2004) «Ограничение срока действия снято»
№1 от 01.12.2003 (рег. 10.10.2003) «Текстовое изменение; Изменены ссылочные НД»
Приложение №1:Изменение к ГОСТ 16504-81. Поправка к изменению
Приложение №2:Изменение №1 к ГОСТ 16504-81
ГОСТ 16504-81ГОСТ 16504-81ГОСТ 16504-81ГОСТ 16504-81ГОСТ 16504-81ГОСТ 16504-81ГОСТ 16504-81ГОСТ 16504-81ГОСТ 16504-81ГОСТ 16504-81ГОСТ 16504-81ГОСТ 16504-81ГОСТ 16504-81ГОСТ 16504-81ГОСТ 16504-81ГОСТ 16504-81ГОСТ 16504-81ГОСТ 16504-81ГОСТ 16504-81ГОСТ 16504-81ГОСТ 16504-81ГОСТ 16504-81ГОСТ 16504-81ГОСТ 16504-81

Изменение к ГОСТ 16504-81. Поправка к изменению

Обозначение:Изменение к ГОСТ 16504-81. Поправка к изменению
Дата введения:01.06.2004


Изменение к ГОСТ 16504-81. Поправка к изменению

Изменение №1 к ГОСТ 16504-81

Обозначение:Изменение №1 к ГОСТ 16504-81
Дата введения:01.12.2003


Изменение №1 к ГОСТ 16504-81Изменение №1 к ГОСТ 16504-81
 




ГОСТЫ, СТРОИТЕЛЬНЫЕ и ТЕХНИЧЕСКИЕ НОРМАТИВЫ.
Некоммерческая онлайн система, содержащая все Российские Госты, национальные Стандарты и нормативы.
В Системе содержится более 150000 файлов нормативно-технической документации, действующей на территории РФ.
Система предназначена для широкого круга инженерно-технических специалистов.

Рейтинг@Mail.ru Яндекс цитирования

Copyright © www.gostrf.com, 2008 - 2026