Крупнейшая бесплатная информационно-справочная система онлайн доступа к полному собранию технических нормативно-правовых актов РФ. Огромная база технических нормативов (более 150 тысяч документов) и полное собрание национальных стандартов, аутентичное официальной базе Госстандарта. GOSTRF.com - это более 1 Терабайта бесплатной технической информации для всех пользователей интернета. Все электронные копии представленных здесь документов могут распространяться без каких-либо ограничений. Поощряется распространение информации с этого сайта на любых других ресурсах. Каждый человек имеет право на неограниченный доступ к этим документам! Каждый человек имеет право на знание требований, изложенных в данных нормативно-правовых актах!

  


 

ГОСТ 24829-81

Пакеты трехкассетных пресс-форм для изготовления резиновых уплотнительных манжет. Конструкция и размеры

Обозначение:ГОСТ 24829-81
Текущий статус документа: действующий
Название документа рус.:Пакеты трехкассетных пресс-форм для изготовления резиновых уплотнительных манжет. Конструкция и размеры
Название документа англ.:The sets of three casette press moulds for manufacturing of rubber sealing cups. Design and dimensions
Дата актуализации текста:01.12.2013
Дата издания:16.09.1981
Дата введения:30.06.1982
Дата последнего изменения:22.05.2013
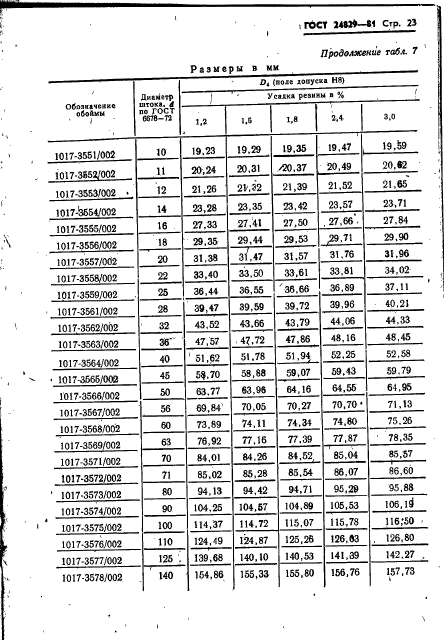
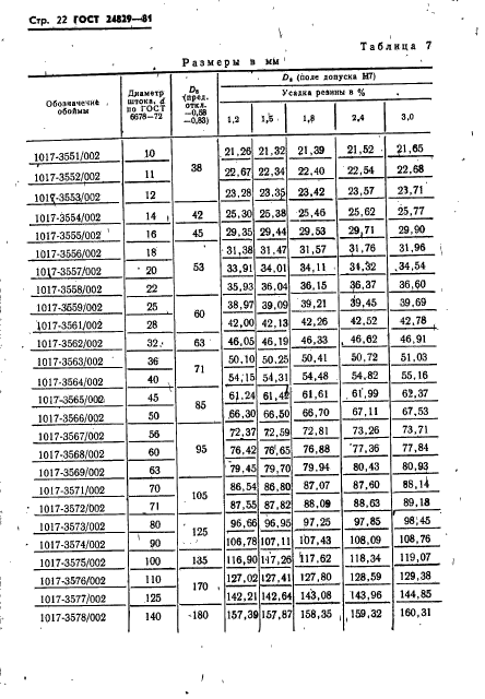
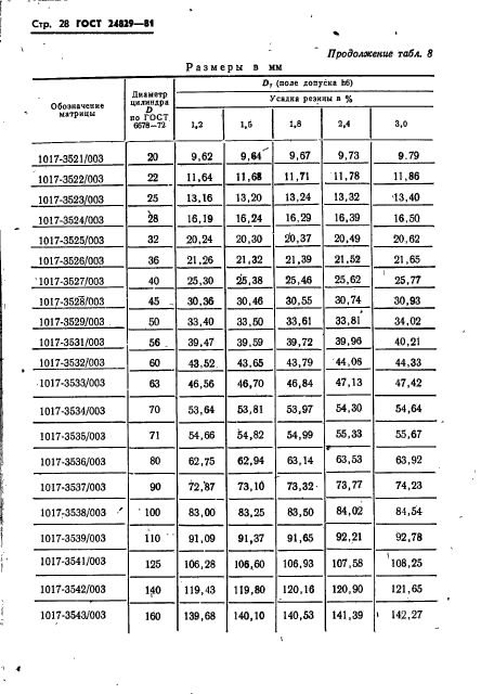
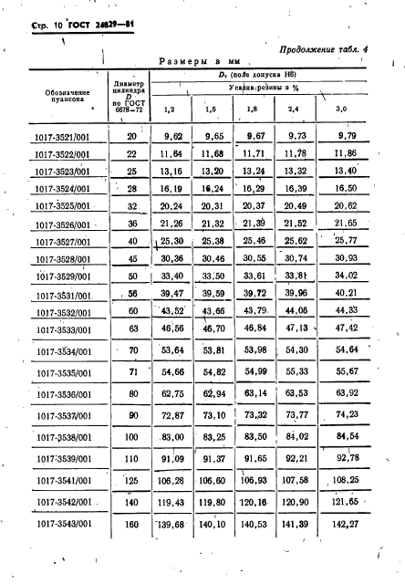
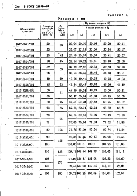
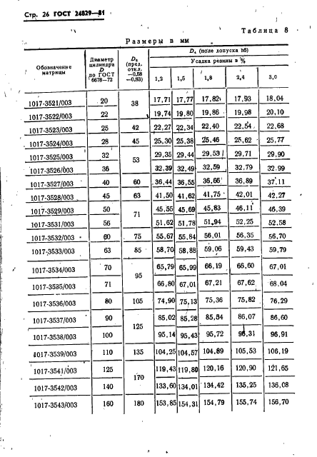
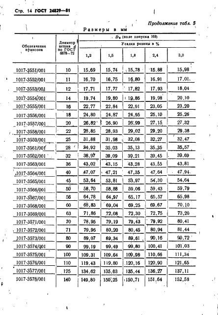
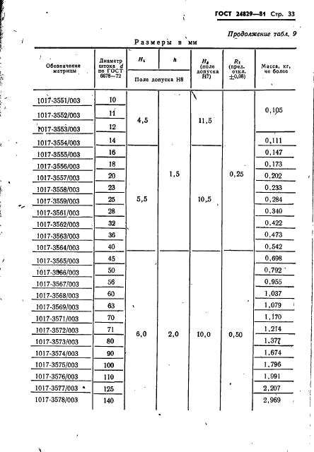
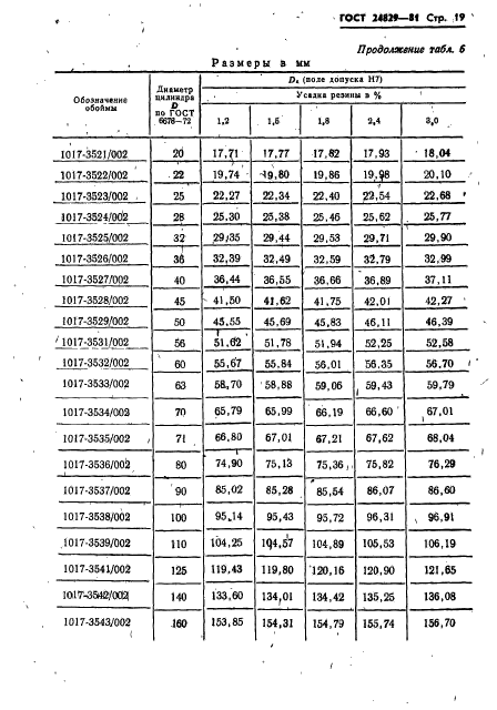
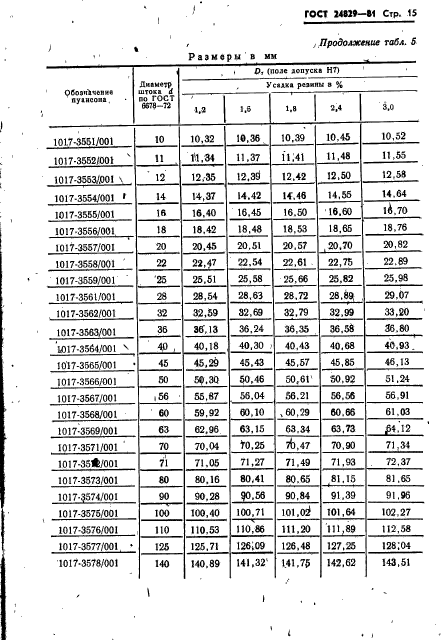
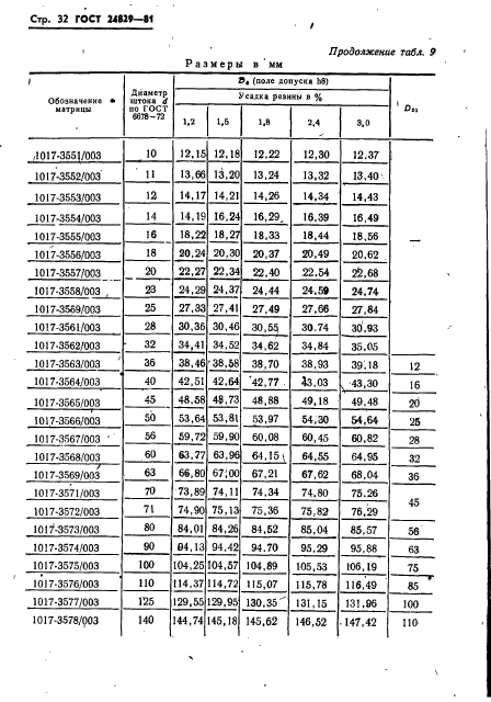
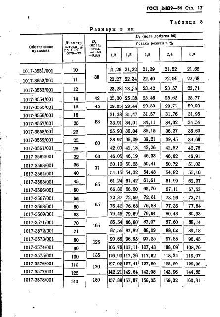
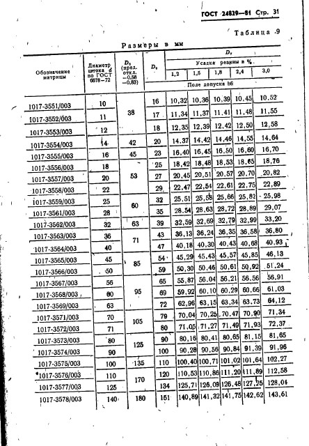
Область применения:Настоящий стандарт распространяется на пакеты с исполнительными размерами формообразующих полостей, рассчитанных с учетом усадки резины 1,2, 1,5, 1,8, 2,4, 3,0 %, устанавливаемые в блоки трехкассетных пресс-форм по ГОСТ 24318-80 для изготовления резиновых манжет типов 1 и 2 по ГОСТ 6678-72 с внутренним диаметром не менее 9,5 мм и наружным диаметром не более 159 мм
ГОСТ 24829-81ГОСТ 24829-81ГОСТ 24829-81ГОСТ 24829-81ГОСТ 24829-81ГОСТ 24829-81ГОСТ 24829-81ГОСТ 24829-81ГОСТ 24829-81ГОСТ 24829-81ГОСТ 24829-81ГОСТ 24829-81ГОСТ 24829-81ГОСТ 24829-81ГОСТ 24829-81ГОСТ 24829-81ГОСТ 24829-81ГОСТ 24829-81ГОСТ 24829-81ГОСТ 24829-81ГОСТ 24829-81ГОСТ 24829-81ГОСТ 24829-81ГОСТ 24829-81ГОСТ 24829-81ГОСТ 24829-81ГОСТ 24829-81ГОСТ 24829-81ГОСТ 24829-81ГОСТ 24829-81ГОСТ 24829-81ГОСТ 24829-81ГОСТ 24829-81ГОСТ 24829-81ГОСТ 24829-81ГОСТ 24829-81ГОСТ 24829-81ГОСТ 24829-81ГОСТ 24829-81ГОСТ 24829-81ГОСТ 24829-81ГОСТ 24829-81ГОСТ 24829-81ГОСТ 24829-81ГОСТ 24829-81ГОСТ 24829-81
 




ГОСТЫ, СТРОИТЕЛЬНЫЕ и ТЕХНИЧЕСКИЕ НОРМАТИВЫ.
Некоммерческая онлайн система, содержащая все Российские Госты, национальные Стандарты и нормативы.
В Системе содержится более 150000 файлов нормативно-технической документации, действующей на территории РФ.
Система предназначена для широкого круга инженерно-технических специалистов.

Рейтинг@Mail.ru Яндекс цитирования

Copyright © www.gostrf.com, 2008 - 2026