Крупнейшая бесплатная информационно-справочная система онлайн доступа к полному собранию технических нормативно-правовых актов РФ. Огромная база технических нормативов (более 150 тысяч документов) и полное собрание национальных стандартов, аутентичное официальной базе Госстандарта. GOSTRF.com - это более 1 Терабайта бесплатной технической информации для всех пользователей интернета. Все электронные копии представленных здесь документов могут распространяться без каких-либо ограничений. Поощряется распространение информации с этого сайта на любых других ресурсах. Каждый человек имеет право на неограниченный доступ к этим документам! Каждый человек имеет право на знание требований, изложенных в данных нормативно-правовых актах!

  


 

ГОСТ 12820-80

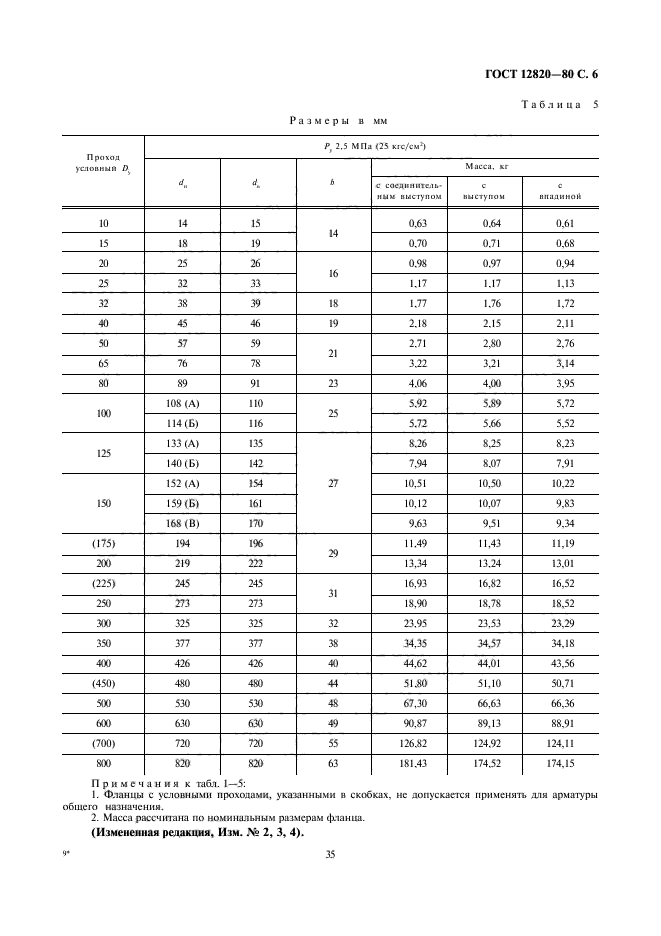
Фланцы стальные плоские приварные на Ру от 0,1 до 2,5 МПа (от 1 до 25 кгс/см кв.). Конструкция и размеры

Обозначение:ГОСТ 12820-80
Текущий статус документа: действующий
Название документа рус.:Фланцы стальные плоские приварные на Ру от 0,1 до 2,5 МПа (от 1 до 25 кгс/см кв.). Конструкция и размеры
Название документа англ.:Steel plane welded flanges for Pnom from 0,1 to 2,5 MPa (from 1to 25 kgf/sq sm). Design and dimensions
Дата актуализации текста:01.12.2013
Дата издания:01.07.2003
Дата введения:01.01.1983
Дата последнего изменения:22.05.2013
Переиздание:переиздание с изм. 1
Взамен:
Область применения:Настоящий стандарт распространяется на стальные плоские приварные фланцы трубопроводов и соединительных частей, а также на присоединительные фланцы арматуры, соединительных частей машин, приборов, патрубков аппаратов и резервуаров на условное давление Py от 0,1 до 2,5 МПа (от 1 до 25 кгс/см кв.) и температуру от 203 до 573 К (от минус 70 до плюс 300 град. С)
Список изменений:№1 от 01.07.1983 (рег. 11.03.1983) «Срок действия продлен»
№2 от 01.07.1988 (рег. 25.12.1987) «Срок действия продлен»
№3 от 01.04.1990 (рег. 08.09.1989) «Срок действия продлен»
№4 от 01.10.1992 (рег. 15.04.1992) «Срок действия продлен»
ГОСТ 12820-80ГОСТ 12820-80ГОСТ 12820-80ГОСТ 12820-80ГОСТ 12820-80ГОСТ 12820-80ГОСТ 12820-80ГОСТ 12820-80ГОСТ 12820-80ГОСТ 12820-80ГОСТ 12820-80
 




ГОСТЫ, СТРОИТЕЛЬНЫЕ и ТЕХНИЧЕСКИЕ НОРМАТИВЫ.
Некоммерческая онлайн система, содержащая все Российские Госты, национальные Стандарты и нормативы.
В Системе содержится более 150000 файлов нормативно-технической документации, действующей на территории РФ.
Система предназначена для широкого круга инженерно-технических специалистов.

Рейтинг@Mail.ru Яндекс цитирования

Copyright © www.gostrf.com, 2008 - 2026