Крупнейшая бесплатная информационно-справочная система онлайн доступа к полному собранию технических нормативно-правовых актов РФ. Огромная база технических нормативов (более 150 тысяч документов) и полное собрание национальных стандартов, аутентичное официальной базе Госстандарта. GOSTRF.com - это более 1 Терабайта бесплатной технической информации для всех пользователей интернета. Все электронные копии представленных здесь документов могут распространяться без каких-либо ограничений. Поощряется распространение информации с этого сайта на любых других ресурсах. Каждый человек имеет право на неограниченный доступ к этим документам! Каждый человек имеет право на знание требований, изложенных в данных нормативно-правовых актах!

  


 

ГОСТ 23832-79

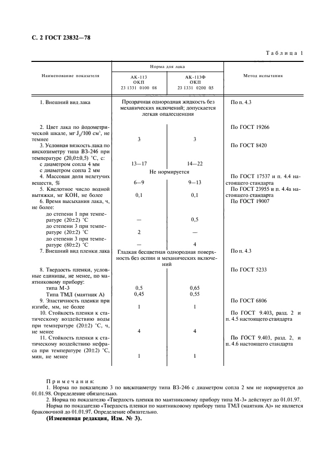
Лаки АК-113 и АК-113Ф. Технические условия

Обозначение:ГОСТ 23832-79
Текущий статус документа: действующий
Название документа рус.:Лаки АК-113 и АК-113Ф. Технические условия
Название документа англ.:Varnishes AK-113 and AK-113Ф. Specifications
Дата актуализации текста:01.12.2013
Дата издания:01.06.1999
Дата введения:30.06.1980
Дата последнего изменения:22.05.2013
Переиздание:переиздание с изм. 1
Взамен:ТУ 6-10-1296-75
Область применения:Настоящий стандарт распространяется на лаки АК-113 и АК-113Ф. Лаки предназначаются для нанесения на изделия из черных, цветных металлов и их сплавов, а также на неметаллические поверхности, работающие при температуре до плюс 150 град. С и эксплуатируемые в различных климатических районах
Список изменений:№0 от 27.04.2009 (рег. 27.04.2009) «Дата введения перенесена»
№1 от 01.10.1985 (рег. 20.05.1985) «Срок действия продлен»
№2 от 01.07.1990 (рег. 07.12.1989) «Срок действия продлен»
№3 от 01.07.1996 (рег. 15.11.1995) «Срок действия продлен»
Приложение №1:Поправка к ГОСТ 23832-79
ГОСТ 23832-79ГОСТ 23832-79ГОСТ 23832-79ГОСТ 23832-79ГОСТ 23832-79ГОСТ 23832-79ГОСТ 23832-79ГОСТ 23832-79

Поправка к ГОСТ 23832-79

Обозначение:Поправка к ГОСТ 23832-79
Дата введения:27.04.2009


Поправка к ГОСТ 23832-79
 




ГОСТЫ, СТРОИТЕЛЬНЫЕ и ТЕХНИЧЕСКИЕ НОРМАТИВЫ.
Некоммерческая онлайн система, содержащая все Российские Госты, национальные Стандарты и нормативы.
В Системе содержится более 150000 файлов нормативно-технической документации, действующей на территории РФ.
Система предназначена для широкого круга инженерно-технических специалистов.

Рейтинг@Mail.ru Яндекс цитирования

Copyright © www.gostrf.com, 2008 - 2026