Крупнейшая бесплатная информационно-справочная система онлайн доступа к полному собранию технических нормативно-правовых актов РФ. Огромная база технических нормативов (более 150 тысяч документов) и полное собрание национальных стандартов, аутентичное официальной базе Госстандарта. GOSTRF.com - это более 1 Терабайта бесплатной технической информации для всех пользователей интернета. Все электронные копии представленных здесь документов могут распространяться без каких-либо ограничений. Поощряется распространение информации с этого сайта на любых других ресурсах. Каждый человек имеет право на неограниченный доступ к этим документам! Каждый человек имеет право на знание требований, изложенных в данных нормативно-правовых актах!

  


 

ГОСТ 17394-79

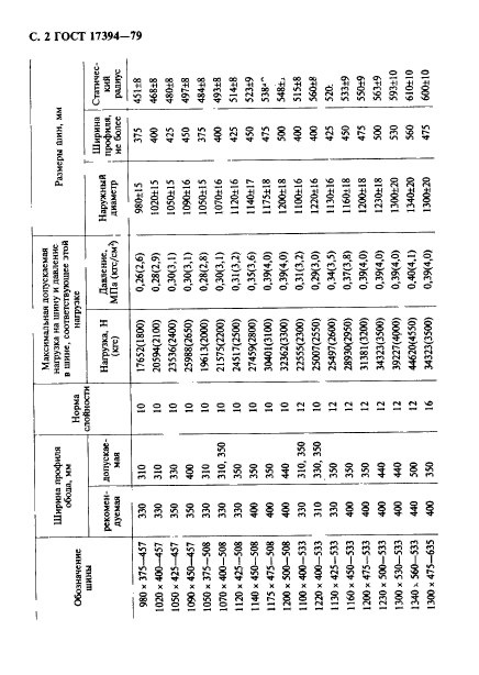
Шины широкопрофильные с регулируемым давлением. Основные параметры и размеры

Обозначение:ГОСТ 17394-79
Текущий статус документа: действующий
Название документа рус.:Шины широкопрофильные с регулируемым давлением. Основные параметры и размеры
Название документа англ.:Wide profile tyres with adjusted pressure. Main parameters and dimensions
Дата актуализации текста:01.12.2013
Дата издания:01.05.1997
Дата введения:30.06.1980
Дата последнего изменения:22.05.2013
Переиздание:переиздание с изм. 1
Область применения:Настоящий стандарт распространяется на широкопрофильные шины с регулируемым давлением диагональные (камерные и бескамерные) для новых автомобилей повышенной проходимости и других машин, эксплуатируемых преимущественно в условиях бездорожья и на мягких грунтах, и устанавливает основные параметры, размеры и эксплуатационные характеристики шин. Стандарт не распространяется на шины, специально предназначенные для работы в шахтах, рудниках, карьерах, на лесоразработках, и шины, разработанные и находящиеся в производстве до 01.07.80г
Список изменений:№1 от 01.03.1993 (рег. 15.10.1992) «Срок действия продлен»
ГОСТ 17394-79ГОСТ 17394-79ГОСТ 17394-79ГОСТ 17394-79ГОСТ 17394-79ГОСТ 17394-79ГОСТ 17394-79
 




ГОСТЫ, СТРОИТЕЛЬНЫЕ и ТЕХНИЧЕСКИЕ НОРМАТИВЫ.
Некоммерческая онлайн система, содержащая все Российские Госты, национальные Стандарты и нормативы.
В Системе содержится более 150000 файлов нормативно-технической документации, действующей на территории РФ.
Система предназначена для широкого круга инженерно-технических специалистов.

Рейтинг@Mail.ru Яндекс цитирования

Copyright © www.gostrf.com, 2008 - 2026