Крупнейшая бесплатная информационно-справочная система онлайн доступа к полному собранию технических нормативно-правовых актов РФ. Огромная база технических нормативов (более 150 тысяч документов) и полное собрание национальных стандартов, аутентичное официальной базе Госстандарта. GOSTRF.com - это более 1 Терабайта бесплатной технической информации для всех пользователей интернета. Все электронные копии представленных здесь документов могут распространяться без каких-либо ограничений. Поощряется распространение информации с этого сайта на любых других ресурсах. Каждый человек имеет право на неограниченный доступ к этим документам! Каждый человек имеет право на знание требований, изложенных в данных нормативно-правовых актах!

  


 

ГОСТ 1923-78

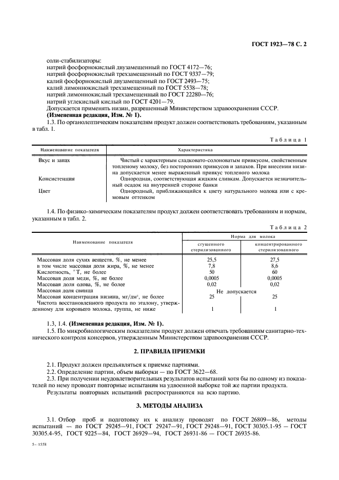
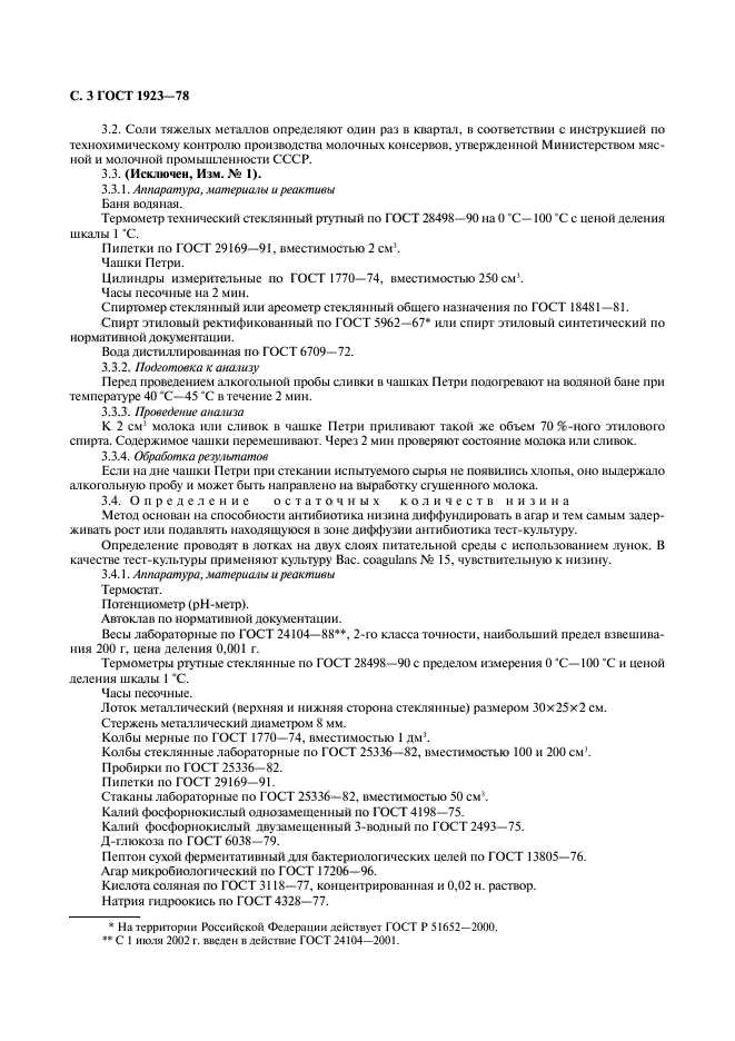
Консервы молочные. Молоко сгущенное стерилизованное в банках. Технические условия

Обозначение:ГОСТ 1923-78
Текущий статус документа: утратил силу в РФ
Название документа рус.:Консервы молочные. Молоко сгущенное стерилизованное в банках. Технические условия
Название документа англ.:Sterilized condensed canned milk. Specifications
Дата актуализации текста:01.12.2013
Дата издания:01.09.2008
Дата введения:01.01.1979
Дата последнего изменения:22.05.2013
Дата окончания срока действия:01.01.2013
Переиздание:переиздание с изм. 1
Область применения:Настоящий стандарт распространяется на стерилизованное сгущенное молоко и стерилизованное концентрированное цельное молоко и молокосодержащий продукт, приготовленные сгущением цельного пастеризованного коровьего молока с последующей стерилизацией его в банках
Список изменений:№0 от 09.06.1988 (рег. 09.06.1988) «Срок действия продлен»
№0 от 29.05.2009 (рег. 29.05.2009) «Дата введения перенесена»
№0 от 01.01.2013 (рег. 13.12.2011) «Поправка к изменению»
№1 от 01.06.1984 (рег. 16.12.1983) «Срок действия продлен»
Приложение №1:Поправка к ГОСТ 1923-78
ГОСТ 1923-78ГОСТ 1923-78ГОСТ 1923-78ГОСТ 1923-78ГОСТ 1923-78ГОСТ 1923-78ГОСТ 1923-78ГОСТ 1923-78

Поправка к ГОСТ 1923-78

Обозначение:Поправка к ГОСТ 1923-78
Дата введения:29.05.2009


Поправка к ГОСТ 1923-78
 




ГОСТЫ, СТРОИТЕЛЬНЫЕ и ТЕХНИЧЕСКИЕ НОРМАТИВЫ.
Некоммерческая онлайн система, содержащая все Российские Госты, национальные Стандарты и нормативы.
В Системе содержится более 150000 файлов нормативно-технической документации, действующей на территории РФ.
Система предназначена для широкого круга инженерно-технических специалистов.

Рейтинг@Mail.ru Яндекс цитирования

Copyright © www.gostrf.com, 2008 - 2026