Крупнейшая бесплатная информационно-справочная система онлайн доступа к полному собранию технических нормативно-правовых актов РФ. Огромная база технических нормативов (более 150 тысяч документов) и полное собрание национальных стандартов, аутентичное официальной базе Госстандарта. GOSTRF.com - это более 1 Терабайта бесплатной технической информации для всех пользователей интернета. Все электронные копии представленных здесь документов могут распространяться без каких-либо ограничений. Поощряется распространение информации с этого сайта на любых других ресурсах. Каждый человек имеет право на неограниченный доступ к этим документам! Каждый человек имеет право на знание требований, изложенных в данных нормативно-правовых актах!

  


 

ГОСТ 14923-78

Эмали ПФ-223. Технические условия

Обозначение:ГОСТ 14923-78
Текущий статус документа: действующий
Название документа рус.:Эмали ПФ-223. Технические условия
Название документа англ.:Enamels ПФ-223. Specifications
Дата актуализации текста:01.12.2013
Дата издания:01.03.1999
Дата введения:30.06.1979
Дата последнего изменения:22.05.2013
Переиздание:переиздание с изм. 1
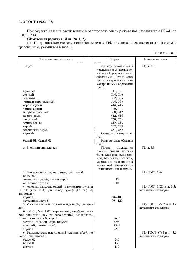
Область применения:Настоящий стандарт распространяется на эмали ПФ-223 различных цветов, представляющие собой суспензию пигментов в пентафталевом лаке с добавлением сиккатива и растворителей.
Эмали предназначаются для окрашивания металлических поверхностей и поверхностей из древесины, эксплуатируемых внутри помещений.
Пленки эмалей устойчивы к изменению температуры от минус 40 до 60 град. С.
Эмали наносят на поверхность (по грунтовке или без нее) методами пневматического, безвоздушного распыления, распылением в электрополе и кистью
Список изменений:№1 от 01.03.1984 (рег. 22.09.1983) «Срок действия продлен»
№2 от 01.10.1988 (рег. 30.03.1988) «Срок действия продлен»
№3 от 01.07.1996 (рег. 21.03.1996) «Срок действия продлен»
ГОСТ 14923-78ГОСТ 14923-78ГОСТ 14923-78ГОСТ 14923-78ГОСТ 14923-78ГОСТ 14923-78ГОСТ 14923-78ГОСТ 14923-78ГОСТ 14923-78ГОСТ 14923-78ГОСТ 14923-78
 




ГОСТЫ, СТРОИТЕЛЬНЫЕ и ТЕХНИЧЕСКИЕ НОРМАТИВЫ.
Некоммерческая онлайн система, содержащая все Российские Госты, национальные Стандарты и нормативы.
В Системе содержится более 150000 файлов нормативно-технической документации, действующей на территории РФ.
Система предназначена для широкого круга инженерно-технических специалистов.

Рейтинг@Mail.ru Яндекс цитирования

Copyright © www.gostrf.com, 2008 - 2026