Крупнейшая бесплатная информационно-справочная система онлайн доступа к полному собранию технических нормативно-правовых актов РФ. Огромная база технических нормативов (более 150 тысяч документов) и полное собрание национальных стандартов, аутентичное официальной базе Госстандарта. GOSTRF.com - это более 1 Терабайта бесплатной технической информации для всех пользователей интернета. Все электронные копии представленных здесь документов могут распространяться без каких-либо ограничений. Поощряется распространение информации с этого сайта на любых других ресурсах. Каждый человек имеет право на неограниченный доступ к этим документам! Каждый человек имеет право на знание требований, изложенных в данных нормативно-правовых актах!

  


 

ГОСТ 1293.6-78

Сплавы свинцово-сурьмянистые. Метод определения натрия

Обозначение:ГОСТ 1293.6-78
Текущий статус документа: действующий
Название документа рус.:Сплавы свинцово-сурьмянистые. Метод определения натрия
Название документа англ.:Antimonous lead alloys. Method for the determination of sodium
Дата актуализации текста:01.12.2013
Дата издания:01.10.1999
Дата введения:01.01.1980
Дата последнего изменения:22.05.2013
Переиздание:переиздание с изм. 1
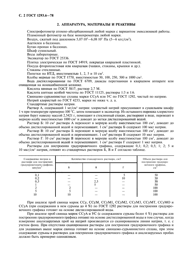
Область применения:Настоящий стандарт устанавливает пламенно-фотометрический метод определения содержания натрия (при массовой доле натрия от 0,001 до 0,04%) в свинцово-сурьмянистом сплаве
Список изменений:№1 от 01.07.1984 (рег. 30.12.1983) «Срок действия продлен»
№2 от 01.07.1988 (рег. 20.11.1987) «Срок действия продлен»
ГОСТ 1293.6-78ГОСТ 1293.6-78ГОСТ 1293.6-78ГОСТ 1293.6-78ГОСТ 1293.6-78ГОСТ 1293.6-78ГОСТ 1293.6-78
 




ГОСТЫ, СТРОИТЕЛЬНЫЕ и ТЕХНИЧЕСКИЕ НОРМАТИВЫ.
Некоммерческая онлайн система, содержащая все Российские Госты, национальные Стандарты и нормативы.
В Системе содержится более 150000 файлов нормативно-технической документации, действующей на территории РФ.
Система предназначена для широкого круга инженерно-технических специалистов.

Рейтинг@Mail.ru Яндекс цитирования

Copyright © www.gostrf.com, 2008 - 2026