Крупнейшая бесплатная информационно-справочная система онлайн доступа к полному собранию технических нормативно-правовых актов РФ. Огромная база технических нормативов (более 150 тысяч документов) и полное собрание национальных стандартов, аутентичное официальной базе Госстандарта. GOSTRF.com - это более 1 Терабайта бесплатной технической информации для всех пользователей интернета. Все электронные копии представленных здесь документов могут распространяться без каких-либо ограничений. Поощряется распространение информации с этого сайта на любых других ресурсах. Каждый человек имеет право на неограниченный доступ к этим документам! Каждый человек имеет право на знание требований, изложенных в данных нормативно-правовых актах!

  


 

ГОСТ 22867-77

Реактивы. Аммоний азотнокислый. Технические условия

Обозначение:ГОСТ 22867-77
Текущий статус документа: действующий
Название документа рус.:Реактивы. Аммоний азотнокислый. Технические условия
Название документа англ.:Reagents. Ammonium nitrate. Specifications
Дата актуализации текста:01.12.2013
Дата издания:01.04.1997
Дата введения:01.01.1979
Дата последнего изменения:22.05.2013
Переиздание:переиздание с изм. 1
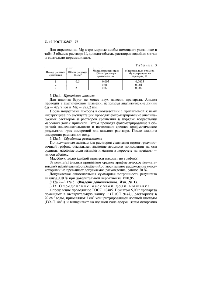
Область применения:Настоящий стандарт распространяется на азотнокислый аммоний, представляющий собой кристаллический порошок, хорошо растворимый в воде и спирте; гигроскопичен, способен слеживаться
Список изменений:№1 от 01.01.1989 (рег. 23.06.1988) «Срок действия продлен»
№2 от 01.01.1994 (рег. 18.05.1993) «Срок действия продлен»
ГОСТ 22867-77ГОСТ 22867-77ГОСТ 22867-77ГОСТ 22867-77ГОСТ 22867-77ГОСТ 22867-77ГОСТ 22867-77ГОСТ 22867-77ГОСТ 22867-77ГОСТ 22867-77ГОСТ 22867-77ГОСТ 22867-77ГОСТ 22867-77ГОСТ 22867-77ГОСТ 22867-77ГОСТ 22867-77ГОСТ 22867-77ГОСТ 22867-77ГОСТ 22867-77ГОСТ 22867-77ГОСТ 22867-77ГОСТ 22867-77ГОСТ 22867-77
 




ГОСТЫ, СТРОИТЕЛЬНЫЕ и ТЕХНИЧЕСКИЕ НОРМАТИВЫ.
Некоммерческая онлайн система, содержащая все Российские Госты, национальные Стандарты и нормативы.
В Системе содержится более 150000 файлов нормативно-технической документации, действующей на территории РФ.
Система предназначена для широкого круга инженерно-технических специалистов.

Рейтинг@Mail.ru Яндекс цитирования

Copyright © www.gostrf.com, 2008 - 2026