Крупнейшая бесплатная информационно-справочная система онлайн доступа к полному собранию технических нормативно-правовых актов РФ. Огромная база технических нормативов (более 150 тысяч документов) и полное собрание национальных стандартов, аутентичное официальной базе Госстандарта. GOSTRF.com - это более 1 Терабайта бесплатной технической информации для всех пользователей интернета. Все электронные копии представленных здесь документов могут распространяться без каких-либо ограничений. Поощряется распространение информации с этого сайта на любых других ресурсах. Каждый человек имеет право на неограниченный доступ к этим документам! Каждый человек имеет право на знание требований, изложенных в данных нормативно-правовых актах!

  


 

ГОСТ 21586-76

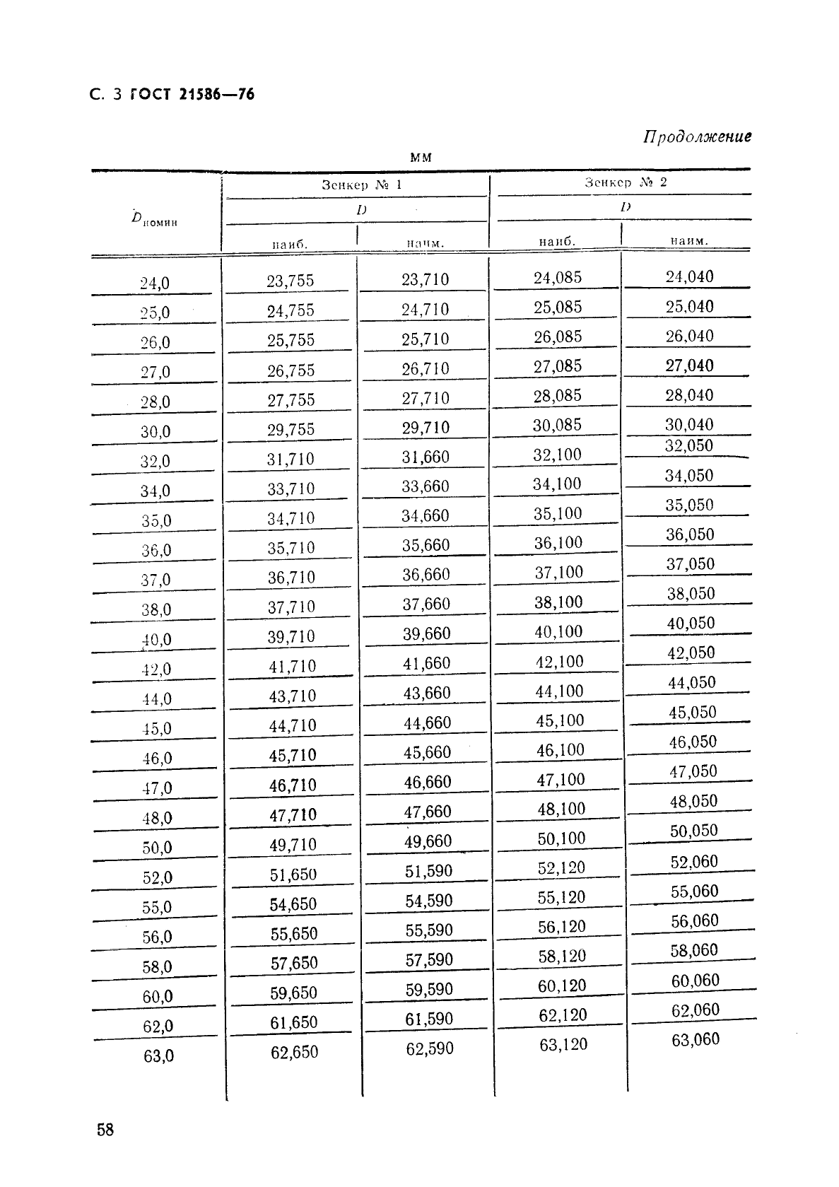
Зенкеры для обработки отверстий диаметром от 3 до 80 мм в деталях из легких сплавов. Допуски на диаметр

Обозначение:ГОСТ 21586-76
Текущий статус документа: действующий
Название документа рус.:Зенкеры для обработки отверстий диаметром от 3 до 80 мм в деталях из легких сплавов. Допуски на диаметр
Название документа англ.:Countersinks for machining holes diameters from 3 to 80 mm. Hole tolerance
Дата актуализации текста:01.12.2013
Дата издания:01.05.1990
Дата введения:01.01.1977
Дата последнего изменения:22.05.2013
Переиздание:переиздание
Взамен:МН 324-60
Область применения:Настоящий стандарт устанавливает допуски на диаметры зенкеров
ГОСТ 21586-76ГОСТ 21586-76ГОСТ 21586-76ГОСТ 21586-76ГОСТ 21586-76
 




ГОСТЫ, СТРОИТЕЛЬНЫЕ и ТЕХНИЧЕСКИЕ НОРМАТИВЫ.
Некоммерческая онлайн система, содержащая все Российские Госты, национальные Стандарты и нормативы.
В Системе содержится более 150000 файлов нормативно-технической документации, действующей на территории РФ.
Система предназначена для широкого круга инженерно-технических специалистов.

Рейтинг@Mail.ru Яндекс цитирования

Copyright © www.gostrf.com, 2008 - 2026