Крупнейшая бесплатная информационно-справочная система онлайн доступа к полному собранию технических нормативно-правовых актов РФ. Огромная база технических нормативов (более 150 тысяч документов) и полное собрание национальных стандартов, аутентичное официальной базе Госстандарта. GOSTRF.com - это более 1 Терабайта бесплатной технической информации для всех пользователей интернета. Все электронные копии представленных здесь документов могут распространяться без каких-либо ограничений. Поощряется распространение информации с этого сайта на любых других ресурсах. Каждый человек имеет право на неограниченный доступ к этим документам! Каждый человек имеет право на знание требований, изложенных в данных нормативно-правовых актах!

  


 

ГОСТ 17.2.1.01-76

Охрана природы. Атмосфера. Классификация выбросов по составу

Обозначение:ГОСТ 17.2.1.01-76
Текущий статус документа: действующий
Название документа рус.:Охрана природы. Атмосфера. Классификация выбросов по составу
Название документа англ.:Nature protection. Atmosphere. Classification of effluents according to composition
Дата актуализации текста:01.12.2013
Дата издания:01.07.2004
Дата введения:01.01.1977
Дата последнего изменения:22.05.2013
Переиздание:переиздание с изм. 1
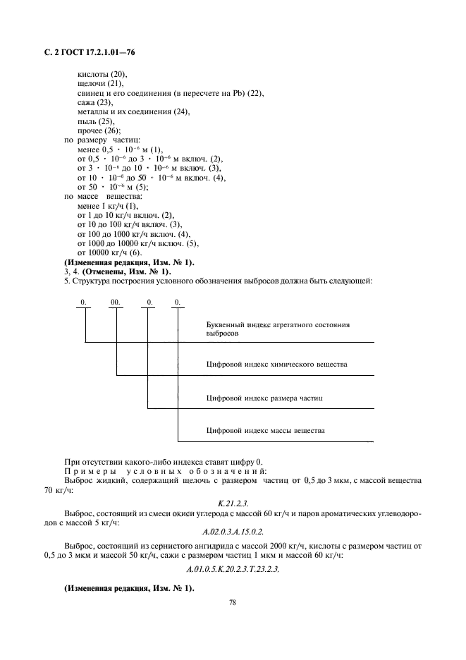
Область применения:Настоящий стандарт устанавливает классификацию выбросов вредных веществ из источников загрязнения атмосферы по составу и структуру построения из условного обозначения.
Настоящий стандарт не распространяется на выбросы, содержащие радиоактивные и биологические вещества (радиоактивная пыль, сложные биологические комплексы, бактерии, микроорганизмы и т.п.)
Список изменений:№1 от 01.01.1981 (рег. 28.02.1980) «Срок действия продлен»
ГОСТ 17.2.1.01-76ГОСТ 17.2.1.01-76
 




ГОСТЫ, СТРОИТЕЛЬНЫЕ и ТЕХНИЧЕСКИЕ НОРМАТИВЫ.
Некоммерческая онлайн система, содержащая все Российские Госты, национальные Стандарты и нормативы.
В Системе содержится более 150000 файлов нормативно-технической документации, действующей на территории РФ.
Система предназначена для широкого круга инженерно-технических специалистов.

Рейтинг@Mail.ru Яндекс цитирования

Copyright © www.gostrf.com, 2008 - 2026