Крупнейшая бесплатная информационно-справочная система онлайн доступа к полному собранию технических нормативно-правовых актов РФ. Огромная база технических нормативов (более 150 тысяч документов) и полное собрание национальных стандартов, аутентичное официальной базе Госстандарта. GOSTRF.com - это более 1 Терабайта бесплатной технической информации для всех пользователей интернета. Все электронные копии представленных здесь документов могут распространяться без каких-либо ограничений. Поощряется распространение информации с этого сайта на любых других ресурсах. Каждый человек имеет право на неограниченный доступ к этим документам! Каждый человек имеет право на знание требований, изложенных в данных нормативно-правовых актах!

  


 

ГОСТ 22034-76

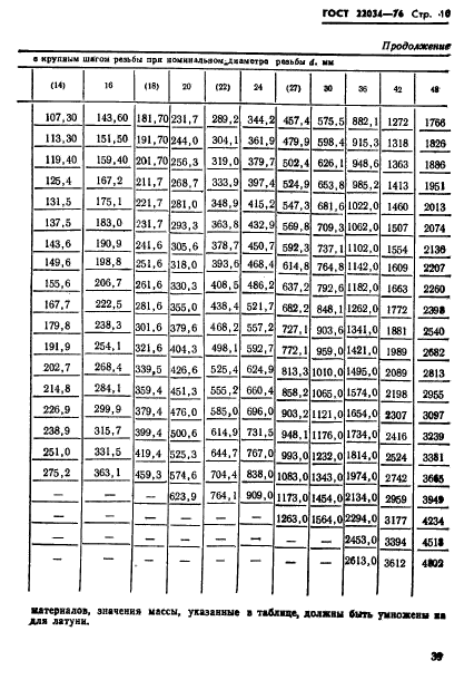
Шпильки с ввинчиваемым концом длиной 1,25d. Класс точности В. Конструкция и размеры

Обозначение:ГОСТ 22034-76
Текущий статус документа: действующий
Название документа рус.:Шпильки с ввинчиваемым концом длиной 1,25d. Класс точности В. Конструкция и размеры
Название документа англ.:Studs with threaded end of 1,25d. Product grade B. Construction and dimensions
Дата актуализации текста:01.12.2013
Дата издания:01.09.1983
Дата введения:30.06.1978
Дата последнего изменения:22.05.2013
Переиздание:переиздание с изм. 1
Взамен в части: в части длины ввинчиваемого резьбового конца l1=1,25d
Область применения:Настоящий стандарт распространяется на шпильки с номинальным диаметром резьбы от 2 до 48 мм, изготовляемые с крупным шагом резьбы на гаечном и ввинчиваемом концах; с мелким шагом резьбы на гаечном и ввинчиваемом концах; с мелким шагом резьбы на ввинчиваемом конце и крупным шагом резьбы на гаечном конце; с крупным шагом резьбы на ввинчиваемом конце и мелким шагом резьбы на гаечном конце
Список изменений:№1 от 01.01.1979 (рег. 07.12.1978) «Срок действия продлен»
№2 от 01.08.1980 (рег. 06.06.1980) «Срок действия продлен»
№3 от 01.01.1984 (рег. 14.04.1983) «Срок действия продлен»
№4 от 01.01.1989 (рег. 28.04.1988) «Срок действия продлен»
ГОСТ 22034-76ГОСТ 22034-76ГОСТ 22034-76ГОСТ 22034-76ГОСТ 22034-76ГОСТ 22034-76ГОСТ 22034-76ГОСТ 22034-76ГОСТ 22034-76ГОСТ 22034-76ГОСТ 22034-76ГОСТ 22034-76ГОСТ 22034-76ГОСТ 22034-76ГОСТ 22034-76
 




ГОСТЫ, СТРОИТЕЛЬНЫЕ и ТЕХНИЧЕСКИЕ НОРМАТИВЫ.
Некоммерческая онлайн система, содержащая все Российские Госты, национальные Стандарты и нормативы.
В Системе содержится более 150000 файлов нормативно-технической документации, действующей на территории РФ.
Система предназначена для широкого круга инженерно-технических специалистов.

Рейтинг@Mail.ru Яндекс цитирования

Copyright © www.gostrf.com, 2008 - 2026