Крупнейшая бесплатная информационно-справочная система онлайн доступа к полному собранию технических нормативно-правовых актов РФ. Огромная база технических нормативов (более 150 тысяч документов) и полное собрание национальных стандартов, аутентичное официальной базе Госстандарта. GOSTRF.com - это более 1 Терабайта бесплатной технической информации для всех пользователей интернета. Все электронные копии представленных здесь документов могут распространяться без каких-либо ограничений. Поощряется распространение информации с этого сайта на любых других ресурсах. Каждый человек имеет право на неограниченный доступ к этим документам! Каждый человек имеет право на знание требований, изложенных в данных нормативно-правовых актах!

  


 

ГОСТ 20821-75

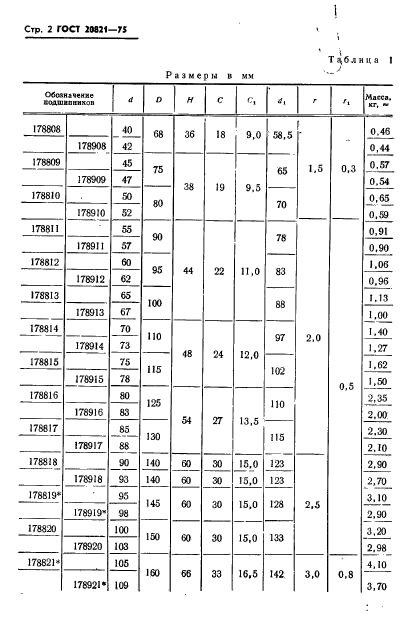
Подшипники шариковые упорно-радиальные двухрядные с углом контакта 60 град. Технические условия

Обозначение:ГОСТ 20821-75
Текущий статус документа: действующий
Название документа рус.:Подшипники шариковые упорно-радиальные двухрядные с углом контакта 60 град. Технические условия
Название документа англ.:Angular-contact double-row ball bearings with contact angle 60 degree. Specifications
Дата актуализации текста:01.12.2013
Дата издания:01.09.1984
Дата введения:30.06.1976
Дата последнего изменения:22.05.2013
Переиздание:переиздание с изм. 1
Область применения:Настоящий стандарт распространяется на упорно-радиальные шариковые двухрядные подшипники с углом контакта 60 град., предназначенные для восприятия осевых нагрузок в шпиндельных узлах металлорежущих станков
Список изменений:№0 от 27.06.1988 (рег. 27.06.1988) «Срок действия продлен»
№1 от 01.07.1984 (рег. 12.12.1983) «Срок действия продлен»
№2 от 01.07.1991 (рег. 28.12.1990) «Срок действия продлен»
ГОСТ 20821-75ГОСТ 20821-75ГОСТ 20821-75ГОСТ 20821-75ГОСТ 20821-75ГОСТ 20821-75ГОСТ 20821-75ГОСТ 20821-75ГОСТ 20821-75ГОСТ 20821-75ГОСТ 20821-75
 




ГОСТЫ, СТРОИТЕЛЬНЫЕ и ТЕХНИЧЕСКИЕ НОРМАТИВЫ.
Некоммерческая онлайн система, содержащая все Российские Госты, национальные Стандарты и нормативы.
В Системе содержится более 150000 файлов нормативно-технической документации, действующей на территории РФ.
Система предназначена для широкого круга инженерно-технических специалистов.

Рейтинг@Mail.ru Яндекс цитирования

Copyright © www.gostrf.com, 2008 - 2026