Крупнейшая бесплатная информационно-справочная система онлайн доступа к полному собранию технических нормативно-правовых актов РФ. Огромная база технических нормативов (более 150 тысяч документов) и полное собрание национальных стандартов, аутентичное официальной базе Госстандарта. GOSTRF.com - это более 1 Терабайта бесплатной технической информации для всех пользователей интернета. Все электронные копии представленных здесь документов могут распространяться без каких-либо ограничений. Поощряется распространение информации с этого сайта на любых других ресурсах. Каждый человек имеет право на неограниченный доступ к этим документам! Каждый человек имеет право на знание требований, изложенных в данных нормативно-правовых актах!

  


 

ГОСТ 8481-75

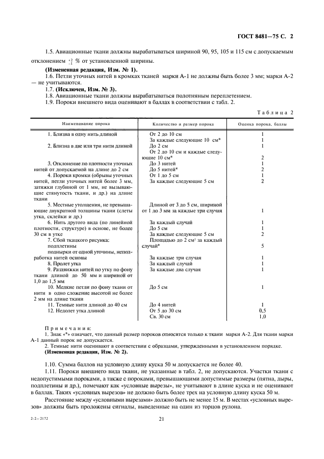
Ткани авиационные из стеклянных крученых комплексных нитей. Технические условия

Обозначение:ГОСТ 8481-75
Текущий статус документа: действующий
Название документа рус.:Ткани авиационные из стеклянных крученых комплексных нитей. Технические условия
Название документа англ.:Aircraft fabrics made of glass twisted complex threads. Specifications
Дата актуализации текста:01.12.2013
Дата издания:01.11.2002
Дата введения:01.01.1977
Дата последнего изменения:22.05.2013
Переиздание:переиздание с изм. 1
Взамен в части: в части марок А и АС
Область применения:Настоящий стандарт распространяется на ткани из стеклянных крученых комплексных нитей, предназначенные для изготовления армирующих материалов, используемых в авиационной промышленности
Список изменений:№1 от 01.09.1981 (рег. 17.06.1981) «Срок действия продлен»
№2 от 01.01.1986 (рег. 27.08.1985) «Срок действия продлен»
№3 от 01.02.1991 (рег. 24.07.1990) «Срок действия продлен»
ГОСТ 8481-75ГОСТ 8481-75ГОСТ 8481-75ГОСТ 8481-75ГОСТ 8481-75
 




ГОСТЫ, СТРОИТЕЛЬНЫЕ и ТЕХНИЧЕСКИЕ НОРМАТИВЫ.
Некоммерческая онлайн система, содержащая все Российские Госты, национальные Стандарты и нормативы.
В Системе содержится более 150000 файлов нормативно-технической документации, действующей на территории РФ.
Система предназначена для широкого круга инженерно-технических специалистов.

Рейтинг@Mail.ru Яндекс цитирования

Copyright © www.gostrf.com, 2008 - 2026