Крупнейшая бесплатная информационно-справочная система онлайн доступа к полному собранию технических нормативно-правовых актов РФ. Огромная база технических нормативов (более 150 тысяч документов) и полное собрание национальных стандартов, аутентичное официальной базе Госстандарта. GOSTRF.com - это более 1 Терабайта бесплатной технической информации для всех пользователей интернета. Все электронные копии представленных здесь документов могут распространяться без каких-либо ограничений. Поощряется распространение информации с этого сайта на любых других ресурсах. Каждый человек имеет право на неограниченный доступ к этим документам! Каждый человек имеет право на знание требований, изложенных в данных нормативно-правовых актах!

  


 

ГОСТ 20365-74

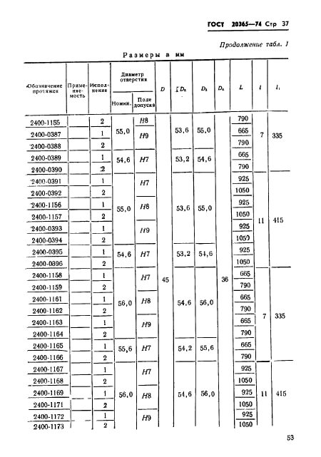
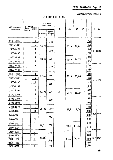
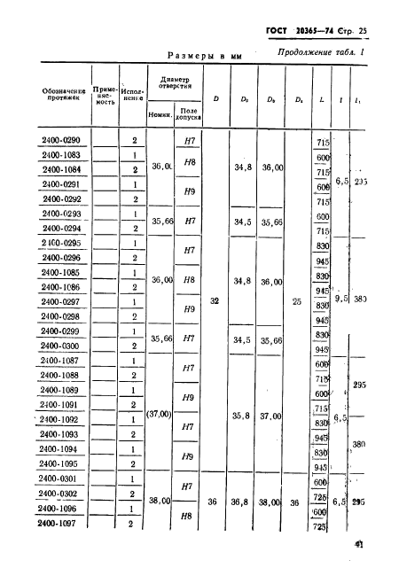
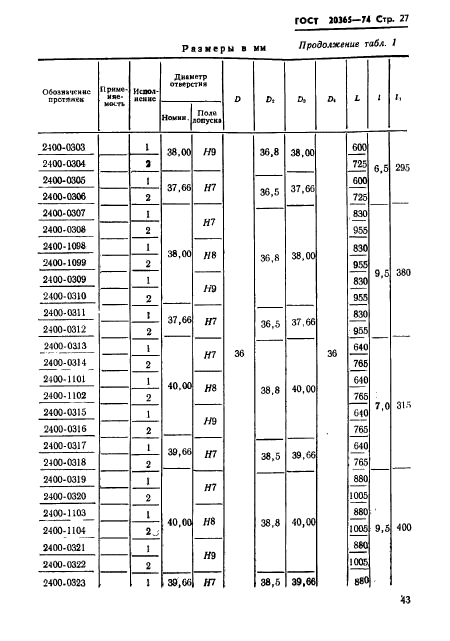
Протяжки круглые переменного резания диаметром от 14 до 90 мм. Конструкция и размеры

Обозначение:ГОСТ 20365-74
Текущий статус документа: действующий
Название документа рус.:Протяжки круглые переменного резания диаметром от 14 до 90 мм. Конструкция и размеры
Название документа англ.:Broaches round of variable cutting of diameters from 14 to 90 mm. Design and dimensions
Дата актуализации текста:01.12.2013
Дата издания:01.03.1983
Дата введения:01.01.1976
Дата последнего изменения:22.05.2013
Переиздание:переиздание с изм. 1
Взамен:МН 4172-62
Область применения:Настоящий стандарт распространяется на протяжки универсального назначения переменного резания, равной стойкости черновой и чистовой частей, предназначенных для обработки цилиндрических отверстий диаметром от 14 до 90 мм
Список изменений:№1 от 01.01.1978 (рег. 02.08.1977) «Срок действия продлен»
№2 от 01.10.1981 (рег. 15.06.1981) «Срок действия продлен»
№3 от 01.10.1982 (рег. 12.05.1982) «Срок действия продлен»
№4 от 01.02.1988 (рег. 23.09.1987) «Срок действия продлен»
ГОСТ 20365-74ГОСТ 20365-74ГОСТ 20365-74ГОСТ 20365-74ГОСТ 20365-74ГОСТ 20365-74ГОСТ 20365-74ГОСТ 20365-74ГОСТ 20365-74ГОСТ 20365-74ГОСТ 20365-74ГОСТ 20365-74ГОСТ 20365-74ГОСТ 20365-74ГОСТ 20365-74ГОСТ 20365-74ГОСТ 20365-74ГОСТ 20365-74ГОСТ 20365-74ГОСТ 20365-74ГОСТ 20365-74ГОСТ 20365-74ГОСТ 20365-74ГОСТ 20365-74ГОСТ 20365-74ГОСТ 20365-74ГОСТ 20365-74ГОСТ 20365-74ГОСТ 20365-74ГОСТ 20365-74ГОСТ 20365-74ГОСТ 20365-74ГОСТ 20365-74ГОСТ 20365-74ГОСТ 20365-74ГОСТ 20365-74ГОСТ 20365-74ГОСТ 20365-74ГОСТ 20365-74ГОСТ 20365-74ГОСТ 20365-74ГОСТ 20365-74ГОСТ 20365-74ГОСТ 20365-74ГОСТ 20365-74ГОСТ 20365-74ГОСТ 20365-74ГОСТ 20365-74ГОСТ 20365-74ГОСТ 20365-74ГОСТ 20365-74ГОСТ 20365-74ГОСТ 20365-74ГОСТ 20365-74ГОСТ 20365-74ГОСТ 20365-74ГОСТ 20365-74ГОСТ 20365-74ГОСТ 20365-74ГОСТ 20365-74ГОСТ 20365-74ГОСТ 20365-74ГОСТ 20365-74ГОСТ 20365-74ГОСТ 20365-74ГОСТ 20365-74ГОСТ 20365-74ГОСТ 20365-74ГОСТ 20365-74ГОСТ 20365-74ГОСТ 20365-74ГОСТ 20365-74ГОСТ 20365-74ГОСТ 20365-74ГОСТ 20365-74ГОСТ 20365-74ГОСТ 20365-74ГОСТ 20365-74ГОСТ 20365-74ГОСТ 20365-74ГОСТ 20365-74ГОСТ 20365-74ГОСТ 20365-74ГОСТ 20365-74ГОСТ 20365-74ГОСТ 20365-74ГОСТ 20365-74ГОСТ 20365-74ГОСТ 20365-74ГОСТ 20365-74ГОСТ 20365-74ГОСТ 20365-74ГОСТ 20365-74ГОСТ 20365-74ГОСТ 20365-74ГОСТ 20365-74ГОСТ 20365-74ГОСТ 20365-74ГОСТ 20365-74ГОСТ 20365-74ГОСТ 20365-74ГОСТ 20365-74ГОСТ 20365-74ГОСТ 20365-74ГОСТ 20365-74ГОСТ 20365-74ГОСТ 20365-74ГОСТ 20365-74ГОСТ 20365-74ГОСТ 20365-74ГОСТ 20365-74ГОСТ 20365-74ГОСТ 20365-74ГОСТ 20365-74ГОСТ 20365-74ГОСТ 20365-74ГОСТ 20365-74ГОСТ 20365-74ГОСТ 20365-74ГОСТ 20365-74ГОСТ 20365-74ГОСТ 20365-74ГОСТ 20365-74ГОСТ 20365-74ГОСТ 20365-74ГОСТ 20365-74ГОСТ 20365-74ГОСТ 20365-74ГОСТ 20365-74ГОСТ 20365-74ГОСТ 20365-74ГОСТ 20365-74ГОСТ 20365-74ГОСТ 20365-74ГОСТ 20365-74ГОСТ 20365-74ГОСТ 20365-74ГОСТ 20365-74ГОСТ 20365-74ГОСТ 20365-74ГОСТ 20365-74ГОСТ 20365-74ГОСТ 20365-74ГОСТ 20365-74ГОСТ 20365-74ГОСТ 20365-74ГОСТ 20365-74ГОСТ 20365-74ГОСТ 20365-74ГОСТ 20365-74
 




ГОСТЫ, СТРОИТЕЛЬНЫЕ и ТЕХНИЧЕСКИЕ НОРМАТИВЫ.
Некоммерческая онлайн система, содержащая все Российские Госты, национальные Стандарты и нормативы.
В Системе содержится более 150000 файлов нормативно-технической документации, действующей на территории РФ.
Система предназначена для широкого круга инженерно-технических специалистов.

Рейтинг@Mail.ru Яндекс цитирования

Copyright © www.gostrf.com, 2008 - 2026