Крупнейшая бесплатная информационно-справочная система онлайн доступа к полному собранию технических нормативно-правовых актов РФ. Огромная база технических нормативов (более 150 тысяч документов) и полное собрание национальных стандартов, аутентичное официальной базе Госстандарта. GOSTRF.com - это более 1 Терабайта бесплатной технической информации для всех пользователей интернета. Все электронные копии представленных здесь документов могут распространяться без каких-либо ограничений. Поощряется распространение информации с этого сайта на любых других ресурсах. Каждый человек имеет право на неограниченный доступ к этим документам! Каждый человек имеет право на знание требований, изложенных в данных нормативно-правовых актах!

  


 

ГОСТ 18410-73

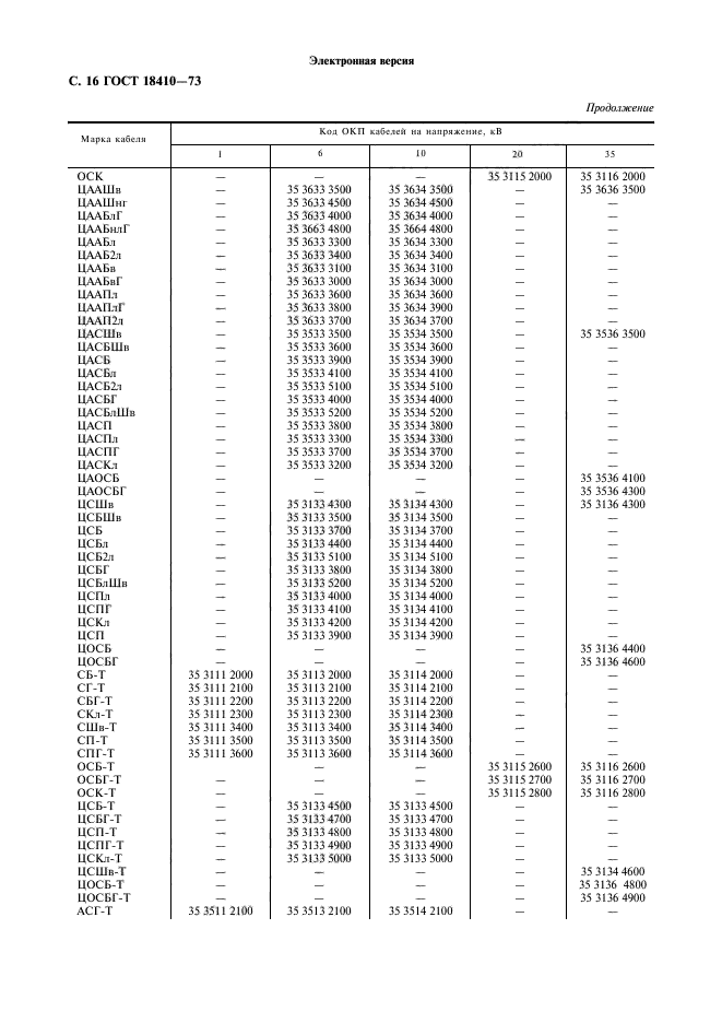
Кабели силовые с пропитанной бумажной изоляцией. Технические условия

Обозначение:ГОСТ 18410-73
Текущий статус документа: действующий
Название документа рус.:Кабели силовые с пропитанной бумажной изоляцией. Технические условия
Название документа англ.:Power paper insulated cables. Specifications
Дата актуализации текста:01.12.2013
Дата издания:01.05.2000
Дата введения:01.01.1975
Дата последнего изменения:22.05.2013
Переиздание:переиздание с изм. 1
Взамен:
Область применения:Настоящий стандарт распространяется на силовые кабели с алюминиевыми и медными жилами с бумажной изоляцией, пропитанной вязким или нестекающим составом, в алюминиевой или свинцовой оболочке, с защитными покровами или без них, предназначенные для передачи и распределения электрической энергии в стационарных установках в электрических сетях на напряжение до 35 кВ переменного тока частотой 50 Гц.
Кабели могут быть использованы в электрических сетях постоянного тока
Список изменений:№0 от 09.01.2002 (рег. 09.01.2002) «Дата введения перенесена»
№1 от 01.12.1978 (рег. 23.06.1978) «Срок действия продлен»
№2 от 01.04.1980 (рег. 07.12.1979) «Срок действия продлен»
№3 от 01.04.1985 (рег. 27.11.1984) «Срок действия продлен»
№4 от 01.01.1988 (рег. 22.06.1987) «Срок действия продлен»
№5 от 01.07.1996 (рег. 17.04.1996) «Срок действия продлен»
Приложение №1:Поправка к ГОСТ 18410-73
ГОСТ 18410-73ГОСТ 18410-73ГОСТ 18410-73ГОСТ 18410-73ГОСТ 18410-73ГОСТ 18410-73ГОСТ 18410-73ГОСТ 18410-73ГОСТ 18410-73ГОСТ 18410-73ГОСТ 18410-73ГОСТ 18410-73ГОСТ 18410-73ГОСТ 18410-73ГОСТ 18410-73ГОСТ 18410-73ГОСТ 18410-73ГОСТ 18410-73ГОСТ 18410-73ГОСТ 18410-73ГОСТ 18410-73ГОСТ 18410-73ГОСТ 18410-73ГОСТ 18410-73ГОСТ 18410-73

Поправка к ГОСТ 18410-73

Обозначение:Поправка к ГОСТ 18410-73
Дата введения:09.01.2002


Поправка к ГОСТ 18410-73
 




ГОСТЫ, СТРОИТЕЛЬНЫЕ и ТЕХНИЧЕСКИЕ НОРМАТИВЫ.
Некоммерческая онлайн система, содержащая все Российские Госты, национальные Стандарты и нормативы.
В Системе содержится более 150000 файлов нормативно-технической документации, действующей на территории РФ.
Система предназначена для широкого круга инженерно-технических специалистов.

Рейтинг@Mail.ru Яндекс цитирования

Copyright © www.gostrf.com, 2008 - 2026